Table of contents: Definitions - Illustrations - Integral representations - Specific values - Functional equations - Representation by other functions - Representation of other functions
| Fungrim symbol | Notation | Short description |
|---|---|---|
| EllipticK | K(m) | Legendre complete elliptic integral of the first kind |
Entry(ID("e8ae42"),
SymbolDefinition(EllipticK, EllipticK(m), "Legendre complete elliptic integral of the first kind"))| Fungrim symbol | Notation | Short description |
|---|---|---|
| EllipticE | E(m) | Legendre complete elliptic integral of the second kind |
Entry(ID("723fd0"),
SymbolDefinition(EllipticE, EllipticE(m), "Legendre complete elliptic integral of the second kind"))| Fungrim symbol | Notation | Short description |
|---|---|---|
| EllipticPi | Π(n,m) | Legendre complete elliptic integral of the third kind |
Entry(ID("34482b"),
SymbolDefinition(EllipticPi, EllipticPi(n, m), "Legendre complete elliptic integral of the third kind"))| Fungrim symbol | Notation | Short description |
|---|---|---|
| IncompleteEllipticF | F(ϕ,m) | Legendre incomplete elliptic integral of the first kind |
Entry(ID("107140"),
SymbolDefinition(IncompleteEllipticF, IncompleteEllipticF(phi, m), "Legendre incomplete elliptic integral of the first kind"))| Fungrim symbol | Notation | Short description |
|---|---|---|
| IncompleteEllipticE | E(ϕ,m) | Legendre incomplete elliptic integral of the second kind |
Entry(ID("afdf5d"),
SymbolDefinition(IncompleteEllipticE, IncompleteEllipticE(phi, m), "Legendre incomplete elliptic integral of the second kind"))| Fungrim symbol | Notation | Short description |
|---|---|---|
| IncompleteEllipticPi | Π(n,ϕ,m) | Legendre incomplete elliptic integral of the third kind |
Entry(ID("53b1e7"),
SymbolDefinition(IncompleteEllipticPi, IncompleteEllipticPi(n, phi, m), "Legendre incomplete elliptic integral of the third kind"))| Fungrim symbol | Notation | Short description |
|---|---|---|
| EllipticK | K(m) | Legendre complete elliptic integral of the first kind |
| ClosedInterval | [a,b] | Closed interval |
Entry(ID("89d93c"),
Image(Description("Plot of", EllipticK(m), "on", Element(m, ClosedInterval(-2, 2))), ImageSource("plot_elliptic_k")))| Fungrim symbol | Notation | Short description |
|---|---|---|
| EllipticE | E(m) | Legendre complete elliptic integral of the second kind |
| ClosedInterval | [a,b] | Closed interval |
Entry(ID("210213"),
Image(Description("Plot of", EllipticE(m), "on", Element(m, ClosedInterval(-2, 2))), ImageSource("plot_elliptic_e")))| Fungrim symbol | Notation | Short description |
|---|---|---|
| IncompleteEllipticF | F(ϕ,m) | Legendre incomplete elliptic integral of the first kind |
| ClosedInterval | [a,b] | Closed interval |
| Pi | π | The constant pi (3.14...) |
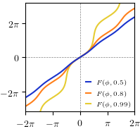
Entry(ID("4704f9"),
Image(Description("Plot of", IncompleteEllipticF(phi, m), "on", Element(phi, ClosedInterval(Neg(Mul(2, Pi)), Mul(2, Pi)))), ImageSource("plot_incomplete_elliptic_f")))| Fungrim symbol | Notation | Short description |
|---|---|---|
| IncompleteEllipticE | E(ϕ,m) | Legendre incomplete elliptic integral of the second kind |
| ClosedInterval | [a,b] | Closed interval |
| Pi | π | The constant pi (3.14...) |
Entry(ID("20d72c"),
Image(Description("Plot of", IncompleteEllipticE(phi, m), "on", Element(phi, ClosedInterval(Neg(Mul(2, Pi)), Mul(2, Pi)))), ImageSource("plot_incomplete_elliptic_e")))K(m) = \int_{0}^{\pi / 2} \frac{1}{\sqrt{1 - m \sin^{2}\!\left(x\right)}} \, dx
m \in \mathbb{C} \setminus \left[1, \infty\right)| Fungrim symbol | Notation | Short description |
|---|---|---|
| EllipticK | K(m) | Legendre complete elliptic integral of the first kind |
| Integral | ∫abf(x)dx | Integral |
| Sqrt | z | Principal square root |
| Pow | ab | Power |
| Sin | sin(z) | Sine |
| Pi | π | The constant pi (3.14...) |
| CC | C | Complex numbers |
| ClosedOpenInterval | [a,b) | Closed-open interval |
| Infinity | ∞ | Positive infinity |
Entry(ID("0455b3"),
Formula(Equal(EllipticK(m), Integral(Div(1, Sqrt(Sub(1, Mul(m, Pow(Sin(x), 2))))), For(x, 0, Div(Pi, 2))))),
Variables(m),
Assumptions(Element(m, SetMinus(CC, ClosedOpenInterval(1, Infinity)))))E(m) = \int_{0}^{\pi / 2} \sqrt{1 - m \sin^{2}\!\left(x\right)} \, dx
m \in \mathbb{C}| Fungrim symbol | Notation | Short description |
|---|---|---|
| EllipticE | E(m) | Legendre complete elliptic integral of the second kind |
| Integral | ∫abf(x)dx | Integral |
| Sqrt | z | Principal square root |
| Pow | ab | Power |
| Sin | sin(z) | Sine |
| Pi | π | The constant pi (3.14...) |
| CC | C | Complex numbers |
Entry(ID("190843"),
Formula(Equal(EllipticE(m), Integral(Sqrt(Sub(1, Mul(m, Pow(Sin(x), 2)))), For(x, 0, Div(Pi, 2))))),
Variables(m),
Assumptions(Element(m, CC)))\Pi\!\left(n, m\right) = \int_{0}^{\pi / 2} \frac{1}{\left(1 - n \sin^{2}\!\left(x\right)\right) \sqrt{1 - m \sin^{2}\!\left(x\right)}} \, dx
n \in \left(-\infty, 1\right) \;\mathbin{\operatorname{and}}\; m \in \left(-\infty, 1\right)| Fungrim symbol | Notation | Short description |
|---|---|---|
| EllipticPi | Π(n,m) | Legendre complete elliptic integral of the third kind |
| Integral | ∫abf(x)dx | Integral |
| Pow | ab | Power |
| Sin | sin(z) | Sine |
| Sqrt | z | Principal square root |
| Pi | π | The constant pi (3.14...) |
| OpenInterval | (a,b) | Open interval |
| Infinity | ∞ | Positive infinity |
Entry(ID("83a535"),
Formula(Equal(EllipticPi(n, m), Integral(Div(1, Mul(Sub(1, Mul(n, Pow(Sin(x), 2))), Sqrt(Sub(1, Mul(m, Pow(Sin(x), 2)))))), For(x, 0, Div(Pi, 2))))),
Variables(n, m),
Assumptions(And(Element(n, OpenInterval(Neg(Infinity), 1)), Element(m, OpenInterval(Neg(Infinity), 1)))))K(m) = \int_{0}^{1} \frac{1}{\sqrt{1 - {x}^{2}} \sqrt{1 - m {x}^{2}}} \, dx
m \in \mathbb{C} \setminus \left[1, \infty\right)| Fungrim symbol | Notation | Short description |
|---|---|---|
| EllipticK | K(m) | Legendre complete elliptic integral of the first kind |
| Integral | ∫abf(x)dx | Integral |
| Sqrt | z | Principal square root |
| Pow | ab | Power |
| CC | C | Complex numbers |
| ClosedOpenInterval | [a,b) | Closed-open interval |
| Infinity | ∞ | Positive infinity |
Entry(ID("47dead"),
Formula(Equal(EllipticK(m), Integral(Div(1, Mul(Sqrt(Sub(1, Pow(x, 2))), Sqrt(Sub(1, Mul(m, Pow(x, 2)))))), For(x, 0, 1)))),
Variables(m),
Assumptions(Element(m, SetMinus(CC, ClosedOpenInterval(1, Infinity)))))E(m) = \int_{0}^{1} \frac{\sqrt{1 - m {x}^{2}}}{\sqrt{1 - {x}^{2}}} \, dx
m \in \mathbb{C}| Fungrim symbol | Notation | Short description |
|---|---|---|
| EllipticE | E(m) | Legendre complete elliptic integral of the second kind |
| Integral | ∫abf(x)dx | Integral |
| Sqrt | z | Principal square root |
| Pow | ab | Power |
| CC | C | Complex numbers |
Entry(ID("fa8666"),
Formula(Equal(EllipticE(m), Integral(Div(Sqrt(Sub(1, Mul(m, Pow(x, 2)))), Sqrt(Sub(1, Pow(x, 2)))), For(x, 0, 1)))),
Variables(m),
Assumptions(Element(m, CC)))\Pi\!\left(n, m\right) = \int_{0}^{1} \frac{1}{\left(1 - n {x}^{2}\right) \sqrt{1 - {x}^{2}} \sqrt{1 - m {x}^{2}}} \, dx
n \in \left(-\infty, 1\right) \;\mathbin{\operatorname{and}}\; m \in \left(-\infty, 1\right)| Fungrim symbol | Notation | Short description |
|---|---|---|
| EllipticPi | Π(n,m) | Legendre complete elliptic integral of the third kind |
| Integral | ∫abf(x)dx | Integral |
| Pow | ab | Power |
| Sqrt | z | Principal square root |
| OpenInterval | (a,b) | Open interval |
| Infinity | ∞ | Positive infinity |
Entry(ID("c10014"),
Formula(Equal(EllipticPi(n, m), Integral(Div(1, Mul(Mul(Sub(1, Mul(n, Pow(x, 2))), Sqrt(Sub(1, Pow(x, 2)))), Sqrt(Sub(1, Mul(m, Pow(x, 2)))))), For(x, 0, 1)))),
Variables(n, m),
Assumptions(And(Element(n, OpenInterval(Neg(Infinity), 1)), Element(m, OpenInterval(Neg(Infinity), 1)))))K(m) = \int_{1}^{\infty} \frac{1}{\sqrt{{x}^{2} - 1} \sqrt{{x}^{2} - m}} \, dx
m \in \mathbb{C} \setminus \left[1, \infty\right)| Fungrim symbol | Notation | Short description |
|---|---|---|
| EllipticK | K(m) | Legendre complete elliptic integral of the first kind |
| Integral | ∫abf(x)dx | Integral |
| Sqrt | z | Principal square root |
| Pow | ab | Power |
| Infinity | ∞ | Positive infinity |
| CC | C | Complex numbers |
| ClosedOpenInterval | [a,b) | Closed-open interval |
Entry(ID("7cd257"),
Formula(Equal(EllipticK(m), Integral(Div(1, Mul(Sqrt(Sub(Pow(x, 2), 1)), Sqrt(Sub(Pow(x, 2), m)))), For(x, 1, Infinity)))),
Variables(m),
Assumptions(Element(m, SetMinus(CC, ClosedOpenInterval(1, Infinity)))))F\!\left(\phi, m\right) = \int_{0}^{\phi} \frac{1}{\sqrt{1 - m \sin^{2}\!\left(x\right)}} \, dx
\phi \in \left[\frac{-\pi}{2}, \frac{\pi}{2}\right] \;\mathbin{\operatorname{and}}\; m \in \mathbb{C} \setminus \left[1, \infty\right)| Fungrim symbol | Notation | Short description |
|---|---|---|
| IncompleteEllipticF | F(ϕ,m) | Legendre incomplete elliptic integral of the first kind |
| Integral | ∫abf(x)dx | Integral |
| Sqrt | z | Principal square root |
| Pow | ab | Power |
| Sin | sin(z) | Sine |
| ClosedInterval | [a,b] | Closed interval |
| Pi | π | The constant pi (3.14...) |
| CC | C | Complex numbers |
| ClosedOpenInterval | [a,b) | Closed-open interval |
| Infinity | ∞ | Positive infinity |
Entry(ID("81fb10"),
Formula(Equal(IncompleteEllipticF(phi, m), Integral(Div(1, Sqrt(Sub(1, Mul(m, Pow(Sin(x), 2))))), For(x, 0, phi)))),
Variables(phi, m),
Assumptions(And(Element(phi, ClosedInterval(Div(Neg(Pi), 2), Div(Pi, 2))), Element(m, SetMinus(CC, ClosedOpenInterval(1, Infinity))))))E\!\left(\phi, m\right) = \int_{0}^{\phi} \sqrt{1 - m \sin^{2}\!\left(x\right)} \, dx
\phi \in \left[\frac{-\pi}{2}, \frac{\pi}{2}\right] \;\mathbin{\operatorname{and}}\; m \in \mathbb{C}| Fungrim symbol | Notation | Short description |
|---|---|---|
| IncompleteEllipticE | E(ϕ,m) | Legendre incomplete elliptic integral of the second kind |
| Integral | ∫abf(x)dx | Integral |
| Sqrt | z | Principal square root |
| Pow | ab | Power |
| Sin | sin(z) | Sine |
| ClosedInterval | [a,b] | Closed interval |
| Pi | π | The constant pi (3.14...) |
| CC | C | Complex numbers |
Entry(ID("2ff7e7"),
Formula(Equal(IncompleteEllipticE(phi, m), Integral(Sqrt(Sub(1, Mul(m, Pow(Sin(x), 2)))), For(x, 0, phi)))),
Variables(phi, m),
Assumptions(And(Element(phi, ClosedInterval(Div(Neg(Pi), 2), Div(Pi, 2))), Element(m, CC))))\Pi\!\left(n, \phi, m\right) = \int_{0}^{\phi} \frac{1}{\left(1 - n \sin^{2}\!\left(x\right)\right) \sqrt{1 - m \sin^{2}\!\left(x\right)}} \, dx
\phi \in \left[\frac{-\pi}{2}, \frac{\pi}{2}\right] \;\mathbin{\operatorname{and}}\; n \in \left(-\infty, 1\right) \;\mathbin{\operatorname{and}}\; m \in \left(-\infty, 1\right)| Fungrim symbol | Notation | Short description |
|---|---|---|
| IncompleteEllipticPi | Π(n,ϕ,m) | Legendre incomplete elliptic integral of the third kind |
| Integral | ∫abf(x)dx | Integral |
| Pow | ab | Power |
| Sin | sin(z) | Sine |
| Sqrt | z | Principal square root |
| ClosedInterval | [a,b] | Closed interval |
| Pi | π | The constant pi (3.14...) |
| OpenInterval | (a,b) | Open interval |
| Infinity | ∞ | Positive infinity |
Entry(ID("60f858"),
Formula(Equal(IncompleteEllipticPi(n, phi, m), Integral(Div(1, Mul(Sub(1, Mul(n, Pow(Sin(x), 2))), Sqrt(Sub(1, Mul(m, Pow(Sin(x), 2)))))), For(x, 0, phi)))),
Variables(n, phi, m),
Assumptions(And(Element(phi, ClosedInterval(Div(Neg(Pi), 2), Div(Pi, 2))), Element(n, OpenInterval(Neg(Infinity), 1)), Element(m, OpenInterval(Neg(Infinity), 1)))))F\!\left(\phi, m\right) = \int_{0}^{\sin(\phi)} \frac{1}{\sqrt{1 - {x}^{2}} \sqrt{1 - m {x}^{2}}} \, dx
\phi \in \left[\frac{-\pi}{2}, \frac{\pi}{2}\right] \;\mathbin{\operatorname{and}}\; m \in \mathbb{C} \setminus \left[1, \infty\right)| Fungrim symbol | Notation | Short description |
|---|---|---|
| IncompleteEllipticF | F(ϕ,m) | Legendre incomplete elliptic integral of the first kind |
| Integral | ∫abf(x)dx | Integral |
| Sqrt | z | Principal square root |
| Pow | ab | Power |
| Sin | sin(z) | Sine |
| ClosedInterval | [a,b] | Closed interval |
| Pi | π | The constant pi (3.14...) |
| CC | C | Complex numbers |
| ClosedOpenInterval | [a,b) | Closed-open interval |
| Infinity | ∞ | Positive infinity |
Entry(ID("33ee4a"),
Formula(Equal(IncompleteEllipticF(phi, m), Integral(Div(1, Mul(Sqrt(Sub(1, Pow(x, 2))), Sqrt(Sub(1, Mul(m, Pow(x, 2)))))), For(x, 0, Sin(phi))))),
Variables(phi, m),
Assumptions(And(Element(phi, ClosedInterval(Div(Neg(Pi), 2), Div(Pi, 2))), Element(m, SetMinus(CC, ClosedOpenInterval(1, Infinity))))))E\!\left(\phi, m\right) = \int_{0}^{\sin(\phi)} \frac{\sqrt{1 - m {x}^{2}}}{\sqrt{1 - {x}^{2}}} \, dx
\phi \in \left[\frac{-\pi}{2}, \frac{\pi}{2}\right] \;\mathbin{\operatorname{and}}\; m \in \mathbb{C}| Fungrim symbol | Notation | Short description |
|---|---|---|
| IncompleteEllipticE | E(ϕ,m) | Legendre incomplete elliptic integral of the second kind |
| Integral | ∫abf(x)dx | Integral |
| Sqrt | z | Principal square root |
| Pow | ab | Power |
| Sin | sin(z) | Sine |
| ClosedInterval | [a,b] | Closed interval |
| Pi | π | The constant pi (3.14...) |
| CC | C | Complex numbers |
Entry(ID("5e869b"),
Formula(Equal(IncompleteEllipticE(phi, m), Integral(Div(Sqrt(Sub(1, Mul(m, Pow(x, 2)))), Sqrt(Sub(1, Pow(x, 2)))), For(x, 0, Sin(phi))))),
Variables(phi, m),
Assumptions(And(Element(phi, ClosedInterval(Div(Neg(Pi), 2), Div(Pi, 2))), Element(m, CC))))\Pi\!\left(n, \phi, m\right) = \int_{0}^{\sin(\phi)} \frac{1}{\left(1 - n {x}^{2}\right) \sqrt{1 - {x}^{2}} \sqrt{1 - m {x}^{2}}} \, dx
\phi \in \left[\frac{-\pi}{2}, \frac{\pi}{2}\right] \;\mathbin{\operatorname{and}}\; n \in \left(-\infty, 1\right) \;\mathbin{\operatorname{and}}\; m \in \left(-\infty, 1\right)| Fungrim symbol | Notation | Short description |
|---|---|---|
| IncompleteEllipticPi | Π(n,ϕ,m) | Legendre incomplete elliptic integral of the third kind |
| Integral | ∫abf(x)dx | Integral |
| Pow | ab | Power |
| Sqrt | z | Principal square root |
| Sin | sin(z) | Sine |
| ClosedInterval | [a,b] | Closed interval |
| Pi | π | The constant pi (3.14...) |
| OpenInterval | (a,b) | Open interval |
| Infinity | ∞ | Positive infinity |
Entry(ID("06223c"),
Formula(Equal(IncompleteEllipticPi(n, phi, m), Integral(Div(1, Mul(Mul(Sub(1, Mul(n, Pow(x, 2))), Sqrt(Sub(1, Pow(x, 2)))), Sqrt(Sub(1, Mul(m, Pow(x, 2)))))), For(x, 0, Sin(phi))))),
Variables(n, phi, m),
Assumptions(And(Element(phi, ClosedInterval(Div(Neg(Pi), 2), Div(Pi, 2))), Element(n, OpenInterval(Neg(Infinity), 1)), Element(m, OpenInterval(Neg(Infinity), 1)))))E(1) = 1
| Fungrim symbol | Notation | Short description |
|---|---|---|
| EllipticE | E(m) | Legendre complete elliptic integral of the second kind |
Entry(ID("958a3f"),
Formula(Equal(EllipticE(1), 1)))K(-1) = \frac{{\left(\Gamma\!\left(\frac{1}{4}\right)\right)}^{2}}{4 \sqrt{2 \pi}}| Fungrim symbol | Notation | Short description |
|---|---|---|
| EllipticK | K(m) | Legendre complete elliptic integral of the first kind |
| Pow | ab | Power |
| Gamma | Γ(z) | Gamma function |
| Sqrt | z | Principal square root |
| Pi | π | The constant pi (3.14...) |
Entry(ID("afb22a"),
Formula(Equal(EllipticK(-1), Div(Pow(Gamma(Div(1, 4)), 2), Mul(4, Sqrt(Mul(2, Pi)))))))K\!\left(\frac{1}{2}\right) = \frac{{\left(\Gamma\!\left(\frac{1}{4}\right)\right)}^{2}}{4 \sqrt{\pi}}| Fungrim symbol | Notation | Short description |
|---|---|---|
| EllipticK | K(m) | Legendre complete elliptic integral of the first kind |
| Pow | ab | Power |
| Gamma | Γ(z) | Gamma function |
| Sqrt | z | Principal square root |
| Pi | π | The constant pi (3.14...) |
Entry(ID("cc22bf"),
Formula(Equal(EllipticK(Div(1, 2)), Div(Pow(Gamma(Div(1, 4)), 2), Mul(4, Sqrt(Pi))))))K(2) = \frac{{\left(\Gamma\!\left(\frac{1}{4}\right)\right)}^{2}}{4 \sqrt{2 \pi}} \left(1 - i\right)| Fungrim symbol | Notation | Short description |
|---|---|---|
| EllipticK | K(m) | Legendre complete elliptic integral of the first kind |
| Pow | ab | Power |
| Gamma | Γ(z) | Gamma function |
| Sqrt | z | Principal square root |
| Pi | π | The constant pi (3.14...) |
| ConstI | i | Imaginary unit |
Entry(ID("630eca"),
Formula(Equal(EllipticK(2), Mul(Div(Pow(Gamma(Div(1, 4)), 2), Mul(4, Sqrt(Mul(2, Pi)))), Sub(1, ConstI)))))E(-1) = \sqrt{2} \left(\frac{{\left(\Gamma\!\left(\frac{1}{4}\right)\right)}^{2}}{8 \sqrt{\pi}} + \frac{{\pi}^{3 / 2}}{{\left(\Gamma\!\left(\frac{1}{4}\right)\right)}^{2}}\right)| Fungrim symbol | Notation | Short description |
|---|---|---|
| EllipticE | E(m) | Legendre complete elliptic integral of the second kind |
| Sqrt | z | Principal square root |
| Pow | ab | Power |
| Gamma | Γ(z) | Gamma function |
| Pi | π | The constant pi (3.14...) |
Entry(ID("9f3474"),
Formula(Equal(EllipticE(-1), Mul(Sqrt(2), Add(Div(Pow(Gamma(Div(1, 4)), 2), Mul(8, Sqrt(Pi))), Div(Pow(Pi, Div(3, 2)), Pow(Gamma(Div(1, 4)), 2)))))))E\!\left(\frac{1}{2}\right) = \frac{{\left(\Gamma\!\left(\frac{1}{4}\right)\right)}^{2}}{8 \sqrt{\pi}} + \frac{{\pi}^{3 / 2}}{{\left(\Gamma\!\left(\frac{1}{4}\right)\right)}^{2}}| Fungrim symbol | Notation | Short description |
|---|---|---|
| EllipticE | E(m) | Legendre complete elliptic integral of the second kind |
| Pow | ab | Power |
| Gamma | Γ(z) | Gamma function |
| Sqrt | z | Principal square root |
| Pi | π | The constant pi (3.14...) |
Entry(ID("3b272e"),
Formula(Equal(EllipticE(Div(1, 2)), Add(Div(Pow(Gamma(Div(1, 4)), 2), Mul(8, Sqrt(Pi))), Div(Pow(Pi, Div(3, 2)), Pow(Gamma(Div(1, 4)), 2))))))E(2) = \frac{\sqrt{2} {\pi}^{3 / 2}}{{\left(\Gamma\!\left(\frac{1}{4}\right)\right)}^{2}} \left(1 + i\right)| Fungrim symbol | Notation | Short description |
|---|---|---|
| EllipticE | E(m) | Legendre complete elliptic integral of the second kind |
| Sqrt | z | Principal square root |
| Pow | ab | Power |
| Pi | π | The constant pi (3.14...) |
| Gamma | Γ(z) | Gamma function |
| ConstI | i | Imaginary unit |
Entry(ID("5d2c01"),
Formula(Equal(EllipticE(2), Mul(Div(Mul(Sqrt(2), Pow(Pi, Div(3, 2))), Pow(Gamma(Div(1, 4)), 2)), Add(1, ConstI)))))K\!\left({\left(3 - 2 \sqrt{2}\right)}^{2}\right) = \frac{\left(2 + \sqrt{2}\right) {\left(\Gamma\!\left(\frac{1}{4}\right)\right)}^{2}}{16 \sqrt{\pi}}| Fungrim symbol | Notation | Short description |
|---|---|---|
| EllipticK | K(m) | Legendre complete elliptic integral of the first kind |
| Pow | ab | Power |
| Sqrt | z | Principal square root |
| Gamma | Γ(z) | Gamma function |
| Pi | π | The constant pi (3.14...) |
Entry(ID("2991b5"),
Formula(Equal(EllipticK(Pow(Sub(3, Mul(2, Sqrt(2))), 2)), Div(Mul(Add(2, Sqrt(2)), Pow(Gamma(Div(1, 4)), 2)), Mul(16, Sqrt(Pi))))))K\!\left(\frac{4 - 3 \sqrt{2}}{8}\right) = \frac{{\left(\Gamma\!\left(\frac{1}{4}\right)\right)}^{2}}{4 \cdot {2}^{1 / 4} \sqrt{\pi}}| Fungrim symbol | Notation | Short description |
|---|---|---|
| EllipticK | K(m) | Legendre complete elliptic integral of the first kind |
| Sqrt | z | Principal square root |
| Pow | ab | Power |
| Gamma | Γ(z) | Gamma function |
| Pi | π | The constant pi (3.14...) |
Entry(ID("4b040d"),
Formula(Equal(EllipticK(Div(Sub(4, Mul(3, Sqrt(2))), 8)), Div(Pow(Gamma(Div(1, 4)), 2), Mul(Mul(4, Pow(2, Div(1, 4))), Sqrt(Pi))))))K\!\left(\frac{1 + \sqrt{3} i}{2}\right) = \frac{{e}^{i \pi / 12} \cdot {3}^{1 / 4} {\left(\Gamma\!\left(\frac{1}{3}\right)\right)}^{3}}{{2}^{7 / 3} \pi}| Fungrim symbol | Notation | Short description |
|---|---|---|
| EllipticK | K(m) | Legendre complete elliptic integral of the first kind |
| Sqrt | z | Principal square root |
| ConstI | i | Imaginary unit |
| Exp | ez | Exponential function |
| Pi | π | The constant pi (3.14...) |
| Pow | ab | Power |
| Gamma | Γ(z) | Gamma function |
Entry(ID("0abbe1"),
Formula(Equal(EllipticK(Div(Add(1, Mul(Sqrt(3), ConstI)), 2)), Div(Mul(Mul(Exp(Div(Mul(ConstI, Pi), 12)), Pow(3, Div(1, 4))), Pow(Gamma(Div(1, 3)), 3)), Mul(Pow(2, Div(7, 3)), Pi)))))K\!\left(\frac{1 - \sqrt{3} i}{2}\right) = \frac{{e}^{-i \pi / 12} \cdot {3}^{1 / 4} {\left(\Gamma\!\left(\frac{1}{3}\right)\right)}^{3}}{{2}^{7 / 3} \pi}| Fungrim symbol | Notation | Short description |
|---|---|---|
| EllipticK | K(m) | Legendre complete elliptic integral of the first kind |
| Sqrt | z | Principal square root |
| ConstI | i | Imaginary unit |
| Exp | ez | Exponential function |
| Pi | π | The constant pi (3.14...) |
| Pow | ab | Power |
| Gamma | Γ(z) | Gamma function |
Entry(ID("175b7a"),
Formula(Equal(EllipticK(Div(Sub(1, Mul(Sqrt(3), ConstI)), 2)), Div(Mul(Mul(Exp(Neg(Div(Mul(ConstI, Pi), 12))), Pow(3, Div(1, 4))), Pow(Gamma(Div(1, 3)), 3)), Mul(Pow(2, Div(7, 3)), Pi)))))K\!\left(4 \sqrt{3} - 7\right) = \frac{\sqrt{3 + 2 \sqrt{3}} {\left(\Gamma\!\left(\frac{1}{3}\right)\right)}^{3}}{{2}^{10 / 3} \pi}| Fungrim symbol | Notation | Short description |
|---|---|---|
| EllipticK | K(m) | Legendre complete elliptic integral of the first kind |
| Sqrt | z | Principal square root |
| Pow | ab | Power |
| Gamma | Γ(z) | Gamma function |
| Pi | π | The constant pi (3.14...) |
Entry(ID("b95ffa"),
Formula(Equal(EllipticK(Sub(Mul(4, Sqrt(3)), 7)), Div(Mul(Sqrt(Add(3, Mul(2, Sqrt(3)))), Pow(Gamma(Div(1, 3)), 3)), Mul(Pow(2, Div(10, 3)), Pi)))))K\!\left(\frac{1}{2} - \frac{\sqrt{3}}{4}\right) = \frac{{3}^{1 / 4} {\left(\Gamma\!\left(\frac{1}{3}\right)\right)}^{3}}{4 \cdot {2}^{1 / 3} \pi}| Fungrim symbol | Notation | Short description |
|---|---|---|
| EllipticK | K(m) | Legendre complete elliptic integral of the first kind |
| Sqrt | z | Principal square root |
| Pow | ab | Power |
| Gamma | Γ(z) | Gamma function |
| Pi | π | The constant pi (3.14...) |
Entry(ID("40a376"),
Formula(Equal(EllipticK(Sub(Div(1, 2), Div(Sqrt(3), 4))), Div(Mul(Pow(3, Div(1, 4)), Pow(Gamma(Div(1, 3)), 3)), Mul(Mul(4, Pow(2, Div(1, 3))), Pi)))))\Pi\!\left(0, 0\right) = \frac{\pi}{2}| Fungrim symbol | Notation | Short description |
|---|---|---|
| EllipticPi | Π(n,m) | Legendre complete elliptic integral of the third kind |
| Pi | π | The constant pi (3.14...) |
Entry(ID("618a54"),
Formula(Equal(EllipticPi(0, 0), Div(Pi, 2))))\Pi\!\left(0, 1\right) = \infty
| Fungrim symbol | Notation | Short description |
|---|---|---|
| EllipticPi | Π(n,m) | Legendre complete elliptic integral of the third kind |
| Infinity | ∞ | Positive infinity |
Entry(ID("18e226"),
Formula(Equal(EllipticPi(0, 1), Infinity)))\Pi\!\left(1, 0\right) = {\tilde \infty}| Fungrim symbol | Notation | Short description |
|---|---|---|
| EllipticPi | Π(n,m) | Legendre complete elliptic integral of the third kind |
| UnsignedInfinity | ∞~ | Unsigned infinity |
Entry(ID("061c49"),
Formula(Equal(EllipticPi(1, 0), UnsignedInfinity)))\Pi\!\left(0, \frac{1}{2}\right) = \frac{{\left(\Gamma\!\left(\frac{1}{4}\right)\right)}^{2}}{4 \sqrt{\pi}}| Fungrim symbol | Notation | Short description |
|---|---|---|
| EllipticPi | Π(n,m) | Legendre complete elliptic integral of the third kind |
| Pow | ab | Power |
| Gamma | Γ(z) | Gamma function |
| Sqrt | z | Principal square root |
| Pi | π | The constant pi (3.14...) |
Entry(ID("3c4979"),
Formula(Equal(EllipticPi(0, Div(1, 2)), Div(Pow(Gamma(Div(1, 4)), 2), Mul(4, Sqrt(Pi))))))\Pi\!\left(\frac{1}{2}, 0\right) = \frac{\pi \sqrt{2}}{2}| Fungrim symbol | Notation | Short description |
|---|---|---|
| EllipticPi | Π(n,m) | Legendre complete elliptic integral of the third kind |
| Pi | π | The constant pi (3.14...) |
| Sqrt | z | Principal square root |
Entry(ID("124d02"),
Formula(Equal(EllipticPi(Div(1, 2), 0), Div(Mul(Pi, Sqrt(2)), 2))))\Pi\!\left(\frac{1}{2}, \frac{1}{2}\right) = \frac{{\left(\Gamma\!\left(\frac{1}{4}\right)\right)}^{2}}{4 \sqrt{\pi}} + \frac{2 {\pi}^{3 / 2}}{{\left(\Gamma\!\left(\frac{1}{4}\right)\right)}^{2}}| Fungrim symbol | Notation | Short description |
|---|---|---|
| EllipticPi | Π(n,m) | Legendre complete elliptic integral of the third kind |
| Pow | ab | Power |
| Gamma | Γ(z) | Gamma function |
| Sqrt | z | Principal square root |
| Pi | π | The constant pi (3.14...) |
Entry(ID("9b0385"),
Formula(Equal(EllipticPi(Div(1, 2), Div(1, 2)), Add(Div(Pow(Gamma(Div(1, 4)), 2), Mul(4, Sqrt(Pi))), Div(Mul(2, Pow(Pi, Div(3, 2))), Pow(Gamma(Div(1, 4)), 2))))))\Pi\!\left(1, m\right) = {\tilde \infty}
m \in \mathbb{C}| Fungrim symbol | Notation | Short description |
|---|---|---|
| EllipticPi | Π(n,m) | Legendre complete elliptic integral of the third kind |
| UnsignedInfinity | ∞~ | Unsigned infinity |
| CC | C | Complex numbers |
Entry(ID("ce4df4"),
Formula(Equal(EllipticPi(1, m), UnsignedInfinity)),
Variables(m),
Assumptions(Element(m, CC)))\Pi\!\left(n, 1\right) = \begin{cases} {\left(1 - n\right)}^{-1} \infty, & n \ne 1\\{\tilde \infty}, & n = 1\\ \end{cases}
n \in \mathbb{C}| Fungrim symbol | Notation | Short description |
|---|---|---|
| EllipticPi | Π(n,m) | Legendre complete elliptic integral of the third kind |
| Pow | ab | Power |
| Infinity | ∞ | Positive infinity |
| UnsignedInfinity | ∞~ | Unsigned infinity |
| CC | C | Complex numbers |
Entry(ID("e9c797"),
Formula(Equal(EllipticPi(n, 1), Cases(Tuple(Mul(Pow(Sub(1, n), -1), Infinity), NotEqual(n, 1)), Tuple(UnsignedInfinity, Equal(n, 1))))),
Variables(n),
Assumptions(Element(n, CC)))\Pi\!\left(n, 0\right) = \frac{\pi}{2 \sqrt{1 - n}}
n \in \mathbb{C}| Fungrim symbol | Notation | Short description |
|---|---|---|
| EllipticPi | Π(n,m) | Legendre complete elliptic integral of the third kind |
| Pi | π | The constant pi (3.14...) |
| Sqrt | z | Principal square root |
| CC | C | Complex numbers |
Entry(ID("5d8804"),
Formula(Equal(EllipticPi(n, 0), Div(Pi, Mul(2, Sqrt(Sub(1, n)))))),
Variables(n),
Assumptions(Element(n, CC)))\Pi\!\left(0, m\right) = K(m)
m \in \mathbb{C}| Fungrim symbol | Notation | Short description |
|---|---|---|
| EllipticPi | Π(n,m) | Legendre complete elliptic integral of the third kind |
| EllipticK | K(m) | Legendre complete elliptic integral of the first kind |
| CC | C | Complex numbers |
Entry(ID("dd67fb"),
Formula(Equal(EllipticPi(0, m), EllipticK(m))),
Variables(m),
Assumptions(Element(m, CC)))\Pi\!\left(m, m\right) = \frac{E(m)}{1 - m}
m \in \mathbb{C}| Fungrim symbol | Notation | Short description |
|---|---|---|
| EllipticPi | Π(n,m) | Legendre complete elliptic integral of the third kind |
| EllipticE | E(m) | Legendre complete elliptic integral of the second kind |
| CC | C | Complex numbers |
Entry(ID("9227bf"),
Formula(Equal(EllipticPi(m, m), Div(EllipticE(m), Sub(1, m)))),
Variables(m),
Assumptions(Element(m, CC)))F\!\left(0, 0\right) = 0
| Fungrim symbol | Notation | Short description |
|---|---|---|
| IncompleteEllipticF | F(ϕ,m) | Legendre incomplete elliptic integral of the first kind |
Entry(ID("ba1965"),
Formula(Equal(IncompleteEllipticF(0, 0), 0)))F\!\left(0, m\right) = 0
m \in \mathbb{C}| Fungrim symbol | Notation | Short description |
|---|---|---|
| IncompleteEllipticF | F(ϕ,m) | Legendre incomplete elliptic integral of the first kind |
| CC | C | Complex numbers |
Entry(ID("4268fc"),
Formula(Equal(IncompleteEllipticF(0, m), 0)),
Variables(m),
Assumptions(Element(m, CC)))F\!\left(\phi, 0\right) = \phi
\phi \in \mathbb{C}| Fungrim symbol | Notation | Short description |
|---|---|---|
| IncompleteEllipticF | F(ϕ,m) | Legendre incomplete elliptic integral of the first kind |
| CC | C | Complex numbers |
Entry(ID("d2adb6"),
Formula(Equal(IncompleteEllipticF(phi, 0), phi)),
Variables(phi),
Assumptions(Element(phi, CC)))F\!\left(\frac{\pi}{2}, m\right) = K(m)
m \in \mathbb{C}| Fungrim symbol | Notation | Short description |
|---|---|---|
| IncompleteEllipticF | F(ϕ,m) | Legendre incomplete elliptic integral of the first kind |
| Pi | π | The constant pi (3.14...) |
| EllipticK | K(m) | Legendre complete elliptic integral of the first kind |
| CC | C | Complex numbers |
Entry(ID("0b8fd6"),
Formula(Equal(IncompleteEllipticF(Div(Pi, 2), m), EllipticK(m))),
Variables(m),
Assumptions(Element(m, CC)))F\!\left(\frac{-\pi}{2}, m\right) = -K(m)
m \in \mathbb{C}| Fungrim symbol | Notation | Short description |
|---|---|---|
| IncompleteEllipticF | F(ϕ,m) | Legendre incomplete elliptic integral of the first kind |
| Pi | π | The constant pi (3.14...) |
| EllipticK | K(m) | Legendre complete elliptic integral of the first kind |
| CC | C | Complex numbers |
Entry(ID("81f7db"),
Formula(Equal(IncompleteEllipticF(Div(Neg(Pi), 2), m), Neg(EllipticK(m)))),
Variables(m),
Assumptions(Element(m, CC)))F\!\left(\frac{\pi k}{2}, m\right) = k K(m)
m \in \mathbb{C} \;\mathbin{\operatorname{and}}\; k \in \mathbb{Z} \;\mathbin{\operatorname{and}}\; \left(k \ne 0 \;\mathbin{\operatorname{or}}\; m \ne 1\right)| Fungrim symbol | Notation | Short description |
|---|---|---|
| IncompleteEllipticF | F(ϕ,m) | Legendre incomplete elliptic integral of the first kind |
| Pi | π | The constant pi (3.14...) |
| EllipticK | K(m) | Legendre complete elliptic integral of the first kind |
| CC | C | Complex numbers |
| ZZ | Z | Integers |
Entry(ID("afabeb"),
Formula(Equal(IncompleteEllipticF(Div(Mul(Pi, k), 2), m), Mul(k, EllipticK(m)))),
Variables(m, k),
Assumptions(And(Element(m, CC), Element(k, ZZ), Or(NotEqual(k, 0), NotEqual(m, 1)))))F\!\left(\frac{\pi}{2}, 0\right) = \frac{\pi}{2}| Fungrim symbol | Notation | Short description |
|---|---|---|
| IncompleteEllipticF | F(ϕ,m) | Legendre incomplete elliptic integral of the first kind |
| Pi | π | The constant pi (3.14...) |
Entry(ID("c0ad12"),
Formula(Equal(IncompleteEllipticF(Div(Pi, 2), 0), Div(Pi, 2))))F\!\left(\frac{\pi}{2}, -1\right) = \frac{{\left(\Gamma\!\left(\frac{1}{4}\right)\right)}^{2}}{4 \sqrt{2 \pi}}| Fungrim symbol | Notation | Short description |
|---|---|---|
| IncompleteEllipticF | F(ϕ,m) | Legendre incomplete elliptic integral of the first kind |
| Pi | π | The constant pi (3.14...) |
| Pow | ab | Power |
| Gamma | Γ(z) | Gamma function |
| Sqrt | z | Principal square root |
Entry(ID("ace837"),
Formula(Equal(IncompleteEllipticF(Div(Pi, 2), -1), Div(Pow(Gamma(Div(1, 4)), 2), Mul(4, Sqrt(Mul(2, Pi)))))))F\!\left(\frac{\pi}{2}, 1\right) = \infty| Fungrim symbol | Notation | Short description |
|---|---|---|
| IncompleteEllipticF | F(ϕ,m) | Legendre incomplete elliptic integral of the first kind |
| Pi | π | The constant pi (3.14...) |
| Infinity | ∞ | Positive infinity |
Entry(ID("16612f"),
Formula(Equal(IncompleteEllipticF(Div(Pi, 2), 1), Infinity)))F\!\left(\frac{-\pi}{2}, 1\right) = -\infty| Fungrim symbol | Notation | Short description |
|---|---|---|
| IncompleteEllipticF | F(ϕ,m) | Legendre incomplete elliptic integral of the first kind |
| Pi | π | The constant pi (3.14...) |
| Infinity | ∞ | Positive infinity |
Entry(ID("04c829"),
Formula(Equal(IncompleteEllipticF(Div(Neg(Pi), 2), 1), Neg(Infinity))))F\!\left(\frac{\pi}{3}, 1\right) = \log\!\left(2 + \sqrt{3}\right)| Fungrim symbol | Notation | Short description |
|---|---|---|
| IncompleteEllipticF | F(ϕ,m) | Legendre incomplete elliptic integral of the first kind |
| Pi | π | The constant pi (3.14...) |
| Log | log(z) | Natural logarithm |
| Sqrt | z | Principal square root |
Entry(ID("c584c3"),
Formula(Equal(IncompleteEllipticF(Div(Pi, 3), 1), Log(Add(2, Sqrt(3))))))F\!\left(\frac{\pi}{4}, 1\right) = \log\!\left(1 + \sqrt{2}\right)| Fungrim symbol | Notation | Short description |
|---|---|---|
| IncompleteEllipticF | F(ϕ,m) | Legendre incomplete elliptic integral of the first kind |
| Pi | π | The constant pi (3.14...) |
| Log | log(z) | Natural logarithm |
| Sqrt | z | Principal square root |
Entry(ID("f5d489"),
Formula(Equal(IncompleteEllipticF(Div(Pi, 4), 1), Log(Add(1, Sqrt(2))))))F\!\left(\frac{\pi}{6}, 1\right) = \frac{\log(3)}{2}| Fungrim symbol | Notation | Short description |
|---|---|---|
| IncompleteEllipticF | F(ϕ,m) | Legendre incomplete elliptic integral of the first kind |
| Pi | π | The constant pi (3.14...) |
| Log | log(z) | Natural logarithm |
Entry(ID("a91f8d"),
Formula(Equal(IncompleteEllipticF(Div(Pi, 6), 1), Div(Log(3), 2))))F\!\left(\phi, 1\right) = \begin{cases} \log\!\left(\frac{1 + \sin(\phi)}{\cos(\phi)}\right), & \frac{-\pi}{2} \le \operatorname{Re}(\phi) \le \frac{\pi}{2} \;\mathbin{\operatorname{and}}\; \phi \notin \left\{\frac{-\pi}{2}, \frac{\pi}{2}\right\}\\\operatorname{sgn}(\phi) \infty, & \phi \in \left\{\frac{-\pi}{2}, \frac{\pi}{2}\right\}\\{\tilde \infty}, & \text{otherwise}\\ \end{cases}
\phi \in \mathbb{C}| Fungrim symbol | Notation | Short description |
|---|---|---|
| IncompleteEllipticF | F(ϕ,m) | Legendre incomplete elliptic integral of the first kind |
| Log | log(z) | Natural logarithm |
| Sin | sin(z) | Sine |
| Cos | cos(z) | Cosine |
| Pi | π | The constant pi (3.14...) |
| Re | Re(z) | Real part |
| Sign | sgn(z) | Sign function |
| Infinity | ∞ | Positive infinity |
| UnsignedInfinity | ∞~ | Unsigned infinity |
| CC | C | Complex numbers |
Entry(ID("b7cfb3"),
Formula(Equal(IncompleteEllipticF(phi, 1), Cases(Tuple(Log(Div(Add(1, Sin(phi)), Cos(phi))), And(LessEqual(Div(Neg(Pi), 2), Re(phi), Div(Pi, 2)), NotElement(phi, Set(Div(Neg(Pi), 2), Div(Pi, 2))))), Tuple(Mul(Sign(phi), Infinity), Element(phi, Set(Div(Neg(Pi), 2), Div(Pi, 2)))), Tuple(UnsignedInfinity, Otherwise)))),
Variables(phi),
Assumptions(Element(phi, CC)))F\!\left(\frac{\pi}{4}, 2\right) = \frac{\sqrt{2} {\left(\Gamma\!\left(\frac{1}{4}\right)\right)}^{2}}{8 \sqrt{\pi}}| Fungrim symbol | Notation | Short description |
|---|---|---|
| IncompleteEllipticF | F(ϕ,m) | Legendre incomplete elliptic integral of the first kind |
| Pi | π | The constant pi (3.14...) |
| Sqrt | z | Principal square root |
| Pow | ab | Power |
| Gamma | Γ(z) | Gamma function |
Entry(ID("8b4be6"),
Formula(Equal(IncompleteEllipticF(Div(Pi, 4), 2), Div(Mul(Sqrt(2), Pow(Gamma(Div(1, 4)), 2)), Mul(8, Sqrt(Pi))))))F\!\left(\frac{\pi}{6}, 4\right) = \frac{K\!\left(\frac{1}{4}\right)}{2}| Fungrim symbol | Notation | Short description |
|---|---|---|
| IncompleteEllipticF | F(ϕ,m) | Legendre incomplete elliptic integral of the first kind |
| Pi | π | The constant pi (3.14...) |
| EllipticK | K(m) | Legendre complete elliptic integral of the first kind |
Entry(ID("aac129"),
Formula(Equal(IncompleteEllipticF(Div(Pi, 6), 4), Div(EllipticK(Div(1, 4)), 2))))F\!\left(\operatorname{asin}\!\left(\frac{1}{\sqrt{m}}\right), m\right) = \frac{K\!\left(\frac{1}{m}\right)}{\sqrt{m}}
m \in \mathbb{C} \setminus \left\{0\right\}| Fungrim symbol | Notation | Short description |
|---|---|---|
| IncompleteEllipticF | F(ϕ,m) | Legendre incomplete elliptic integral of the first kind |
| Sqrt | z | Principal square root |
| EllipticK | K(m) | Legendre complete elliptic integral of the first kind |
| CC | C | Complex numbers |
Entry(ID("087a7c"),
Formula(Equal(IncompleteEllipticF(Asin(Div(1, Sqrt(m))), m), Div(EllipticK(Div(1, m)), Sqrt(m)))),
Variables(m),
Assumptions(Element(m, SetMinus(CC, Set(0)))))E\!\left(0, 0\right) = 0
| Fungrim symbol | Notation | Short description |
|---|---|---|
| IncompleteEllipticE | E(ϕ,m) | Legendre incomplete elliptic integral of the second kind |
Entry(ID("a6c07e"),
Formula(Equal(IncompleteEllipticE(0, 0), 0)))E\!\left(0, m\right) = 0
| Fungrim symbol | Notation | Short description |
|---|---|---|
| IncompleteEllipticE | E(ϕ,m) | Legendre incomplete elliptic integral of the second kind |
Entry(ID("be3e09"),
Formula(Equal(IncompleteEllipticE(0, m), 0)))E\!\left(\phi, 0\right) = \phi
\phi \in \mathbb{C}| Fungrim symbol | Notation | Short description |
|---|---|---|
| IncompleteEllipticE | E(ϕ,m) | Legendre incomplete elliptic integral of the second kind |
| CC | C | Complex numbers |
Entry(ID("efc7a4"),
Formula(Equal(IncompleteEllipticE(phi, 0), phi)),
Variables(phi),
Assumptions(Element(phi, CC)))E\!\left(\frac{\pi}{2}, m\right) = E(m)
m \in \mathbb{C}| Fungrim symbol | Notation | Short description |
|---|---|---|
| IncompleteEllipticE | E(ϕ,m) | Legendre incomplete elliptic integral of the second kind |
| Pi | π | The constant pi (3.14...) |
| EllipticE | E(m) | Legendre complete elliptic integral of the second kind |
| CC | C | Complex numbers |
Entry(ID("1b881e"),
Formula(Equal(IncompleteEllipticE(Div(Pi, 2), m), EllipticE(m))),
Variables(m),
Assumptions(Element(m, CC)))E\!\left(\frac{-\pi}{2}, m\right) = -E(m)
m \in \mathbb{C}| Fungrim symbol | Notation | Short description |
|---|---|---|
| IncompleteEllipticE | E(ϕ,m) | Legendre incomplete elliptic integral of the second kind |
| Pi | π | The constant pi (3.14...) |
| EllipticE | E(m) | Legendre complete elliptic integral of the second kind |
| CC | C | Complex numbers |
Entry(ID("2ef763"),
Formula(Equal(IncompleteEllipticE(Div(Neg(Pi), 2), m), Neg(EllipticE(m)))),
Variables(m),
Assumptions(Element(m, CC)))E\!\left(\frac{\pi k}{2}, m\right) = k E(m)
m \in \mathbb{C} \;\mathbin{\operatorname{and}}\; k \in \mathbb{Z}| Fungrim symbol | Notation | Short description |
|---|---|---|
| IncompleteEllipticE | E(ϕ,m) | Legendre incomplete elliptic integral of the second kind |
| Pi | π | The constant pi (3.14...) |
| EllipticE | E(m) | Legendre complete elliptic integral of the second kind |
| CC | C | Complex numbers |
| ZZ | Z | Integers |
Entry(ID("a14442"),
Formula(Equal(IncompleteEllipticE(Div(Mul(Pi, k), 2), m), Mul(k, EllipticE(m)))),
Variables(m, k),
Assumptions(And(Element(m, CC), Element(k, ZZ))))E\!\left(\phi, 1\right) = \sin(\phi)
\phi \in \mathbb{C} \;\mathbin{\operatorname{and}}\; \left(\operatorname{Re}(\phi) \in \left[\frac{-\pi}{2}, \frac{\pi}{2}\right) \;\mathbin{\operatorname{or}}\; \phi = \frac{\pi}{2}\right)| Fungrim symbol | Notation | Short description |
|---|---|---|
| IncompleteEllipticE | E(ϕ,m) | Legendre incomplete elliptic integral of the second kind |
| Sin | sin(z) | Sine |
| CC | C | Complex numbers |
| Re | Re(z) | Real part |
| ClosedOpenInterval | [a,b) | Closed-open interval |
| Pi | π | The constant pi (3.14...) |
Entry(ID("75e141"),
Formula(Equal(IncompleteEllipticE(phi, 1), Sin(phi))),
Variables(phi),
Assumptions(And(Element(phi, CC), Or(Element(Re(phi), ClosedOpenInterval(Div(Neg(Pi), 2), Div(Pi, 2))), Equal(phi, Div(Pi, 2))))))E\!\left(\phi, 1\right) = {\left(-1\right)}^{\left\lfloor \operatorname{Re}(\phi) / \pi + 1 / 2 \right\rfloor} \sin(\phi) + 2 \left\lfloor \frac{\operatorname{Re}(\phi)}{\pi} + \frac{1}{2} \right\rfloor
\phi \in \mathbb{C}| Fungrim symbol | Notation | Short description |
|---|---|---|
| IncompleteEllipticE | E(ϕ,m) | Legendre incomplete elliptic integral of the second kind |
| Pow | ab | Power |
| Re | Re(z) | Real part |
| Pi | π | The constant pi (3.14...) |
| Sin | sin(z) | Sine |
| CC | C | Complex numbers |
Entry(ID("f35a37"),
Formula(Equal(IncompleteEllipticE(phi, 1), Add(Mul(Pow(-1, Floor(Add(Div(Re(phi), Pi), Div(1, 2)))), Sin(phi)), Mul(2, Floor(Add(Div(Re(phi), Pi), Div(1, 2))))))),
Variables(phi),
Assumptions(Element(phi, CC)))E\!\left(\frac{\pi}{2}, 0\right) = \frac{\pi}{2}| Fungrim symbol | Notation | Short description |
|---|---|---|
| IncompleteEllipticE | E(ϕ,m) | Legendre incomplete elliptic integral of the second kind |
| Pi | π | The constant pi (3.14...) |
Entry(ID("51a946"),
Formula(Equal(IncompleteEllipticE(Div(Pi, 2), 0), Div(Pi, 2))))E\!\left(\frac{\pi}{2}, -1\right) = \sqrt{2} \left(\frac{{\left(\Gamma\!\left(\frac{1}{4}\right)\right)}^{2}}{8 \sqrt{\pi}} + \frac{{\pi}^{3 / 2}}{{\left(\Gamma\!\left(\frac{1}{4}\right)\right)}^{2}}\right)| Fungrim symbol | Notation | Short description |
|---|---|---|
| IncompleteEllipticE | E(ϕ,m) | Legendre incomplete elliptic integral of the second kind |
| Pi | π | The constant pi (3.14...) |
| Sqrt | z | Principal square root |
| Pow | ab | Power |
| Gamma | Γ(z) | Gamma function |
Entry(ID("2573ba"),
Formula(Equal(IncompleteEllipticE(Div(Pi, 2), -1), Mul(Sqrt(2), Add(Div(Pow(Gamma(Div(1, 4)), 2), Mul(8, Sqrt(Pi))), Div(Pow(Pi, Div(3, 2)), Pow(Gamma(Div(1, 4)), 2)))))))E\!\left(\frac{\pi}{2}, 1\right) = 1| Fungrim symbol | Notation | Short description |
|---|---|---|
| IncompleteEllipticE | E(ϕ,m) | Legendre incomplete elliptic integral of the second kind |
| Pi | π | The constant pi (3.14...) |
Entry(ID("b62aae"),
Formula(Equal(IncompleteEllipticE(Div(Pi, 2), 1), 1)))E\!\left(\frac{-\pi}{2}, 1\right) = -1| Fungrim symbol | Notation | Short description |
|---|---|---|
| IncompleteEllipticE | E(ϕ,m) | Legendre incomplete elliptic integral of the second kind |
| Pi | π | The constant pi (3.14...) |
Entry(ID("dec0d2"),
Formula(Equal(IncompleteEllipticE(Div(Neg(Pi), 2), 1), -1)))E\!\left(\frac{\pi k}{2}, 1\right) = k
k \in \mathbb{Z}| Fungrim symbol | Notation | Short description |
|---|---|---|
| IncompleteEllipticE | E(ϕ,m) | Legendre incomplete elliptic integral of the second kind |
| Pi | π | The constant pi (3.14...) |
| ZZ | Z | Integers |
Entry(ID("2245df"),
Formula(Equal(IncompleteEllipticE(Div(Mul(Pi, k), 2), 1), k)),
Variables(k),
Assumptions(Element(k, ZZ)))E\!\left(\frac{\pi}{3}, 1\right) = \frac{\sqrt{3}}{2}| Fungrim symbol | Notation | Short description |
|---|---|---|
| IncompleteEllipticE | E(ϕ,m) | Legendre incomplete elliptic integral of the second kind |
| Pi | π | The constant pi (3.14...) |
| Sqrt | z | Principal square root |
Entry(ID("3aed02"),
Formula(Equal(IncompleteEllipticE(Div(Pi, 3), 1), Div(Sqrt(3), 2))))E\!\left(\frac{\pi}{6}, 1\right) = \frac{1}{2}| Fungrim symbol | Notation | Short description |
|---|---|---|
| IncompleteEllipticE | E(ϕ,m) | Legendre incomplete elliptic integral of the second kind |
| Pi | π | The constant pi (3.14...) |
Entry(ID("d88dd1"),
Formula(Equal(IncompleteEllipticE(Div(Pi, 6), 1), Div(1, 2))))E\!\left(\frac{\pi}{4}, 2\right) = \frac{\sqrt{2} {\pi}^{3 / 2}}{{\left(\Gamma\!\left(\frac{1}{4}\right)\right)}^{2}}| Fungrim symbol | Notation | Short description |
|---|---|---|
| IncompleteEllipticE | E(ϕ,m) | Legendre incomplete elliptic integral of the second kind |
| Pi | π | The constant pi (3.14...) |
| Sqrt | z | Principal square root |
| Pow | ab | Power |
| Gamma | Γ(z) | Gamma function |
Entry(ID("4dabda"),
Formula(Equal(IncompleteEllipticE(Div(Pi, 4), 2), Div(Mul(Sqrt(2), Pow(Pi, Div(3, 2))), Pow(Gamma(Div(1, 4)), 2)))))E\!\left(\frac{\pi}{6}, 4\right) = 2 E\!\left(\frac{1}{4}\right) - \frac{3}{2} K\!\left(\frac{1}{4}\right)| Fungrim symbol | Notation | Short description |
|---|---|---|
| IncompleteEllipticE | E(ϕ,m) | Legendre incomplete elliptic integral of the second kind |
| Pi | π | The constant pi (3.14...) |
| EllipticE | E(m) | Legendre complete elliptic integral of the second kind |
| EllipticK | K(m) | Legendre complete elliptic integral of the first kind |
Entry(ID("eba27c"),
Formula(Equal(IncompleteEllipticE(Div(Pi, 6), 4), Sub(Mul(2, EllipticE(Div(1, 4))), Mul(Div(3, 2), EllipticK(Div(1, 4)))))))E\!\left(\operatorname{asin}\!\left(\frac{1}{\sqrt{m}}\right), m\right) = \sqrt{m} \left(E\!\left(\frac{1}{m}\right) - \left(1 - \frac{1}{m}\right) K\!\left(\frac{1}{m}\right)\right)
m \in \mathbb{C} \setminus \left\{0, 1\right\}| Fungrim symbol | Notation | Short description |
|---|---|---|
| IncompleteEllipticE | E(ϕ,m) | Legendre incomplete elliptic integral of the second kind |
| Sqrt | z | Principal square root |
| EllipticE | E(m) | Legendre complete elliptic integral of the second kind |
| EllipticK | K(m) | Legendre complete elliptic integral of the first kind |
| CC | C | Complex numbers |
Entry(ID("f0bcb5"),
Formula(Equal(IncompleteEllipticE(Asin(Div(1, Sqrt(m))), m), Mul(Sqrt(m), Sub(EllipticE(Div(1, m)), Mul(Sub(1, Div(1, m)), EllipticK(Div(1, m))))))),
Variables(m),
Assumptions(Element(m, SetMinus(CC, Set(0, 1)))))K\!\left(\overline{m}\right) = \overline{K(m)}
m \in \mathbb{C} \setminus \left(1, \infty\right)| Fungrim symbol | Notation | Short description |
|---|---|---|
| EllipticK | K(m) | Legendre complete elliptic integral of the first kind |
| Conjugate | z | Complex conjugate |
| CC | C | Complex numbers |
| OpenInterval | (a,b) | Open interval |
| Infinity | ∞ | Positive infinity |
Entry(ID("713966"),
Formula(Equal(EllipticK(Conjugate(m)), Conjugate(EllipticK(m)))),
Variables(m),
Assumptions(Element(m, SetMinus(CC, OpenInterval(1, Infinity)))))E\!\left(\overline{m}\right) = \overline{E(m)}
m \in \mathbb{C} \setminus \left(1, \infty\right)| Fungrim symbol | Notation | Short description |
|---|---|---|
| EllipticE | E(m) | Legendre complete elliptic integral of the second kind |
| Conjugate | z | Complex conjugate |
| CC | C | Complex numbers |
| OpenInterval | (a,b) | Open interval |
| Infinity | ∞ | Positive infinity |
Entry(ID("8e5c81"),
Formula(Equal(EllipticE(Conjugate(m)), Conjugate(EllipticE(m)))),
Variables(m),
Assumptions(Element(m, SetMinus(CC, OpenInterval(1, Infinity)))))F\!\left(-\phi, m\right) = -F\!\left(\phi, m\right)
\phi \in \mathbb{C} \;\mathbin{\operatorname{and}}\; m \in \mathbb{C}| Fungrim symbol | Notation | Short description |
|---|---|---|
| IncompleteEllipticF | F(ϕ,m) | Legendre incomplete elliptic integral of the first kind |
| CC | C | Complex numbers |
Entry(ID("b0eb37"),
Formula(Equal(IncompleteEllipticF(Neg(phi), m), Neg(IncompleteEllipticF(phi, m)))),
Variables(phi, m),
Assumptions(And(Element(phi, CC), Element(m, CC))))E\!\left(-\phi, m\right) = -E\!\left(\phi, m\right)
\phi \in \mathbb{C} \;\mathbin{\operatorname{and}}\; m \in \mathbb{C}| Fungrim symbol | Notation | Short description |
|---|---|---|
| IncompleteEllipticE | E(ϕ,m) | Legendre incomplete elliptic integral of the second kind |
| CC | C | Complex numbers |
Entry(ID("aa1b8e"),
Formula(Equal(IncompleteEllipticE(Neg(phi), m), Neg(IncompleteEllipticE(phi, m)))),
Variables(phi, m),
Assumptions(And(Element(phi, CC), Element(m, CC))))\Pi\!\left(n, -\phi, m\right) = -\Pi\!\left(n, \phi, m\right)
n \in \mathbb{C} \;\mathbin{\operatorname{and}}\; \phi \in \mathbb{C} \;\mathbin{\operatorname{and}}\; m \in \mathbb{C}| Fungrim symbol | Notation | Short description |
|---|---|---|
| IncompleteEllipticPi | Π(n,ϕ,m) | Legendre incomplete elliptic integral of the third kind |
| CC | C | Complex numbers |
Entry(ID("255d81"),
Formula(Equal(IncompleteEllipticPi(n, Neg(phi), m), Neg(IncompleteEllipticPi(n, phi, m)))),
Variables(n, phi, m),
Assumptions(And(Element(n, CC), Element(phi, CC), Element(m, CC))))F\!\left(\phi + k \pi, m\right) = F\!\left(\phi, m\right) + 2 k K(m)
\phi \in \mathbb{C} \;\mathbin{\operatorname{and}}\; m \in \mathbb{C} \;\mathbin{\operatorname{and}}\; k \in \mathbb{Z} \;\mathbin{\operatorname{and}}\; m \ne 1| Fungrim symbol | Notation | Short description |
|---|---|---|
| IncompleteEllipticF | F(ϕ,m) | Legendre incomplete elliptic integral of the first kind |
| Pi | π | The constant pi (3.14...) |
| EllipticK | K(m) | Legendre complete elliptic integral of the first kind |
| CC | C | Complex numbers |
| ZZ | Z | Integers |
Entry(ID("685126"),
Formula(Equal(IncompleteEllipticF(Add(phi, Mul(k, Pi)), m), Add(IncompleteEllipticF(phi, m), Mul(Mul(2, k), EllipticK(m))))),
Variables(phi, m, k),
Assumptions(And(Element(phi, CC), Element(m, CC), Element(k, ZZ), NotEqual(m, 1))))E\!\left(\phi + k \pi, m\right) = E\!\left(\phi, m\right) + 2 k E(m)
\phi \in \mathbb{C} \;\mathbin{\operatorname{and}}\; m \in \mathbb{C} \;\mathbin{\operatorname{and}}\; k \in \mathbb{Z}| Fungrim symbol | Notation | Short description |
|---|---|---|
| IncompleteEllipticE | E(ϕ,m) | Legendre incomplete elliptic integral of the second kind |
| Pi | π | The constant pi (3.14...) |
| EllipticE | E(m) | Legendre complete elliptic integral of the second kind |
| CC | C | Complex numbers |
| ZZ | Z | Integers |
Entry(ID("c28288"),
Formula(Equal(IncompleteEllipticE(Add(phi, Mul(k, Pi)), m), Add(IncompleteEllipticE(phi, m), Mul(Mul(2, k), EllipticE(m))))),
Variables(phi, m, k),
Assumptions(And(Element(phi, CC), Element(m, CC), Element(k, ZZ))))\Pi\!\left(n, \phi + k \pi, m\right) = \Pi\!\left(n, \phi, m\right) + 2 k \Pi\!\left(n, m\right)
n \in \mathbb{C} \;\mathbin{\operatorname{and}}\; \phi \in \mathbb{C} \;\mathbin{\operatorname{and}}\; m \in \mathbb{C} \;\mathbin{\operatorname{and}}\; k \in \mathbb{Z} \;\mathbin{\operatorname{and}}\; n \ne 1 \;\mathbin{\operatorname{and}}\; m \ne 1| Fungrim symbol | Notation | Short description |
|---|---|---|
| IncompleteEllipticPi | Π(n,ϕ,m) | Legendre incomplete elliptic integral of the third kind |
| Pi | π | The constant pi (3.14...) |
| EllipticPi | Π(n,m) | Legendre complete elliptic integral of the third kind |
| CC | C | Complex numbers |
| ZZ | Z | Integers |
Entry(ID("5f84d9"),
Formula(Equal(IncompleteEllipticPi(n, Add(phi, Mul(k, Pi)), m), Add(IncompleteEllipticPi(n, phi, m), Mul(Mul(2, k), EllipticPi(n, m))))),
Variables(n, phi, m, k),
Assumptions(And(Element(n, CC), Element(phi, CC), Element(m, CC), Element(k, ZZ), NotEqual(n, 1), NotEqual(m, 1))))K(m) = \frac{\pi}{2} \,{}_2F_1\!\left(\frac{1}{2}, \frac{1}{2}, 1, m\right)
m \in \mathbb{C}| Fungrim symbol | Notation | Short description |
|---|---|---|
| EllipticK | K(m) | Legendre complete elliptic integral of the first kind |
| Pi | π | The constant pi (3.14...) |
| Hypergeometric2F1 | 2F1(a,b,c,z) | Gauss hypergeometric function |
| CC | C | Complex numbers |
Entry(ID("b760d1"),
Formula(Equal(EllipticK(m), Mul(Div(Pi, 2), Hypergeometric2F1(Div(1, 2), Div(1, 2), 1, m)))),
Variables(m),
Assumptions(Element(m, CC)))E(m) = \frac{\pi}{2} \,{}_2F_1\!\left(-\frac{1}{2}, \frac{1}{2}, 1, m\right)
m \in \mathbb{C}| Fungrim symbol | Notation | Short description |
|---|---|---|
| EllipticE | E(m) | Legendre complete elliptic integral of the second kind |
| Pi | π | The constant pi (3.14...) |
| Hypergeometric2F1 | 2F1(a,b,c,z) | Gauss hypergeometric function |
| CC | C | Complex numbers |
Entry(ID("16d2e1"),
Formula(Equal(EllipticE(m), Mul(Div(Pi, 2), Hypergeometric2F1(Neg(Div(1, 2)), Div(1, 2), 1, m)))),
Variables(m),
Assumptions(Element(m, CC)))2 E(m) - K(m) = \frac{\pi}{2} \,{}_2F_1\!\left(-\frac{1}{2}, \frac{3}{2}, 1, m\right)
m \in \mathbb{C}| Fungrim symbol | Notation | Short description |
|---|---|---|
| EllipticE | E(m) | Legendre complete elliptic integral of the second kind |
| EllipticK | K(m) | Legendre complete elliptic integral of the first kind |
| Pi | π | The constant pi (3.14...) |
| Hypergeometric2F1 | 2F1(a,b,c,z) | Gauss hypergeometric function |
| CC | C | Complex numbers |
Entry(ID("752619"),
Formula(Equal(Sub(Mul(2, EllipticE(m)), EllipticK(m)), Mul(Div(Pi, 2), Hypergeometric2F1(Neg(Div(1, 2)), Div(3, 2), 1, m)))),
Variables(m),
Assumptions(Element(m, CC)))K(m) = \frac{\pi}{2 \operatorname{agm}\!\left(1, \sqrt{1 - m}\right)}
m \in \mathbb{C}| Fungrim symbol | Notation | Short description |
|---|---|---|
| EllipticK | K(m) | Legendre complete elliptic integral of the first kind |
| Pi | π | The constant pi (3.14...) |
| AGM | agm(a,b) | Arithmetic-geometric mean |
| Sqrt | z | Principal square root |
| CC | C | Complex numbers |
Entry(ID("e15f43"),
Formula(Equal(EllipticK(m), Div(Pi, Mul(2, AGM(1, Sqrt(Sub(1, m))))))),
Variables(m),
Assumptions(Element(m, CC)))K(m) = R_F\!\left(0, 1 - m, 1\right)
m \in \mathbb{C}| Fungrim symbol | Notation | Short description |
|---|---|---|
| EllipticK | K(m) | Legendre complete elliptic integral of the first kind |
| CarlsonRF | RF(x,y,z) | Carlson symmetric elliptic integral of the first kind |
| CC | C | Complex numbers |
Entry(ID("0cc11f"),
Formula(Equal(EllipticK(m), CarlsonRF(0, Sub(1, m), 1))),
Variables(m),
Assumptions(Element(m, CC)))E(m) = 2 R_G\!\left(0, 1 - m, 1\right)
m \in \mathbb{C}| Fungrim symbol | Notation | Short description |
|---|---|---|
| EllipticE | E(m) | Legendre complete elliptic integral of the second kind |
| CarlsonRG | RG(x,y,z) | Carlson symmetric elliptic integral of the second kind |
| CC | C | Complex numbers |
Entry(ID("6520e7"),
Formula(Equal(EllipticE(m), Mul(2, CarlsonRG(0, Sub(1, m), 1)))),
Variables(m),
Assumptions(Element(m, CC)))\Pi\!\left(n, m\right) = R_F\!\left(0, 1 - m, 1\right) + \frac{n}{3} R_J\!\left(0, 1 - m, 1, 1 - n\right)
n \in \mathbb{C} \;\mathbin{\operatorname{and}}\; m \in \mathbb{C} \;\mathbin{\operatorname{and}}\; m \ne 1| Fungrim symbol | Notation | Short description |
|---|---|---|
| EllipticPi | Π(n,m) | Legendre complete elliptic integral of the third kind |
| CarlsonRF | RF(x,y,z) | Carlson symmetric elliptic integral of the first kind |
| CarlsonRJ | RJ(x,y,z,w) | Carlson symmetric elliptic integral of the third kind |
| CC | C | Complex numbers |
Entry(ID("9ccaef"),
Formula(Equal(EllipticPi(n, m), Add(CarlsonRF(0, Sub(1, m), 1), Mul(Div(n, 3), CarlsonRJ(0, Sub(1, m), 1, Sub(1, n)))))),
Variables(n, m),
Assumptions(And(Element(n, CC), Element(m, CC), NotEqual(m, 1))))E(m) = \frac{1 - m}{3} \left(R_D\!\left(0, 1 - m, 1\right) + R_D\!\left(0, 1, 1 - m\right)\right)
m \in \mathbb{C} \;\mathbin{\operatorname{and}}\; m \ne 1| Fungrim symbol | Notation | Short description |
|---|---|---|
| EllipticE | E(m) | Legendre complete elliptic integral of the second kind |
| CarlsonRD | RD(x,y,z) | Degenerate Carlson symmetric elliptic integral of the third kind |
| CC | C | Complex numbers |
Entry(ID("41cf8e"),
Formula(Equal(EllipticE(m), Mul(Div(Sub(1, m), 3), Add(CarlsonRD(0, Sub(1, m), 1), CarlsonRD(0, 1, Sub(1, m)))))),
Variables(m),
Assumptions(And(Element(m, CC), NotEqual(m, 1))))K(m) - E(m) = \frac{m}{3} R_D\!\left(0, 1 - m, 1\right)
m \in \mathbb{C}| Fungrim symbol | Notation | Short description |
|---|---|---|
| EllipticK | K(m) | Legendre complete elliptic integral of the first kind |
| EllipticE | E(m) | Legendre complete elliptic integral of the second kind |
| CarlsonRD | RD(x,y,z) | Degenerate Carlson symmetric elliptic integral of the third kind |
| CC | C | Complex numbers |
Entry(ID("94f646"),
Formula(Equal(Sub(EllipticK(m), EllipticE(m)), Mul(Div(m, 3), CarlsonRD(0, Sub(1, m), 1)))),
Variables(m),
Assumptions(Element(m, CC)))E(m) - \left(1 - m\right) K(m) = \frac{m \left(1 - m\right)}{3} R_D\!\left(0, 1, 1 - m\right)
m \in \mathbb{C}| Fungrim symbol | Notation | Short description |
|---|---|---|
| EllipticE | E(m) | Legendre complete elliptic integral of the second kind |
| EllipticK | K(m) | Legendre complete elliptic integral of the first kind |
| CarlsonRD | RD(x,y,z) | Degenerate Carlson symmetric elliptic integral of the third kind |
| CC | C | Complex numbers |
Entry(ID("55d23d"),
Formula(Equal(Sub(EllipticE(m), Mul(Sub(1, m), EllipticK(m))), Mul(Div(Mul(m, Sub(1, m)), 3), CarlsonRD(0, 1, Sub(1, m))))),
Variables(m),
Assumptions(Element(m, CC)))F\!\left(\phi, m\right) = \sin(\phi) R_F\!\left(\cos^{2}\!\left(\phi\right), 1 - m \sin^{2}\!\left(\phi\right), 1\right)
\phi \in \mathbb{C} \;\mathbin{\operatorname{and}}\; m \in \mathbb{C} \;\mathbin{\operatorname{and}}\; \frac{-\pi}{2} \le \operatorname{Re}(\phi) \le \frac{\pi}{2}| Fungrim symbol | Notation | Short description |
|---|---|---|
| IncompleteEllipticF | F(ϕ,m) | Legendre incomplete elliptic integral of the first kind |
| Sin | sin(z) | Sine |
| CarlsonRF | RF(x,y,z) | Carlson symmetric elliptic integral of the first kind |
| Pow | ab | Power |
| Cos | cos(z) | Cosine |
| CC | C | Complex numbers |
| Pi | π | The constant pi (3.14...) |
| Re | Re(z) | Real part |
Entry(ID("e2445d"),
Formula(Equal(IncompleteEllipticF(phi, m), Mul(Sin(phi), CarlsonRF(Pow(Cos(phi), 2), Sub(1, Mul(m, Pow(Sin(phi), 2))), 1)))),
Variables(phi, m),
Assumptions(And(Element(phi, CC), Element(m, CC), LessEqual(Div(Neg(Pi), 2), Re(phi), Div(Pi, 2)))))E\!\left(\phi, m\right) = \sin(\phi) R_F\!\left(\cos^{2}\!\left(\phi\right), 1 - m \sin^{2}\!\left(\phi\right), 1\right) - \frac{1}{3} m \sin^{3}\!\left(\phi\right) R_D\!\left(\cos^{2}\!\left(\phi\right), 1 - m \sin^{2}\!\left(\phi\right), 1\right)
\phi \in \mathbb{C} \;\mathbin{\operatorname{and}}\; m \in \mathbb{C} \;\mathbin{\operatorname{and}}\; \frac{-\pi}{2} \le \operatorname{Re}(\phi) \le \frac{\pi}{2}| Fungrim symbol | Notation | Short description |
|---|---|---|
| IncompleteEllipticE | E(ϕ,m) | Legendre incomplete elliptic integral of the second kind |
| Sin | sin(z) | Sine |
| CarlsonRF | RF(x,y,z) | Carlson symmetric elliptic integral of the first kind |
| Pow | ab | Power |
| Cos | cos(z) | Cosine |
| CarlsonRD | RD(x,y,z) | Degenerate Carlson symmetric elliptic integral of the third kind |
| CC | C | Complex numbers |
| Pi | π | The constant pi (3.14...) |
| Re | Re(z) | Real part |
Entry(ID("f48f54"),
Formula(Equal(IncompleteEllipticE(phi, m), Sub(Mul(Sin(phi), CarlsonRF(Pow(Cos(phi), 2), Sub(1, Mul(m, Pow(Sin(phi), 2))), 1)), Mul(Mul(Mul(Div(1, 3), m), Pow(Sin(phi), 3)), CarlsonRD(Pow(Cos(phi), 2), Sub(1, Mul(m, Pow(Sin(phi), 2))), 1))))),
Variables(phi, m),
Assumptions(And(Element(phi, CC), Element(m, CC), LessEqual(Div(Neg(Pi), 2), Re(phi), Div(Pi, 2)))))\Pi\!\left(n, \phi, m\right) = \sin(\phi) R_F\!\left(\cos^{2}\!\left(\phi\right), 1 - m \sin^{2}\!\left(\phi\right), 1\right) + \frac{1}{3} n \sin^{3}\!\left(\phi\right) R_J\!\left(\cos^{2}\!\left(\phi\right), 1 - m \sin^{2}\!\left(\phi\right), 1, 1 - n \sin^{2}\!\left(\phi\right)\right)
n \in \mathbb{C} \;\mathbin{\operatorname{and}}\; \phi \in \mathbb{C} \;\mathbin{\operatorname{and}}\; m \in \mathbb{C} \;\mathbin{\operatorname{and}}\; \frac{-\pi}{2} \le \operatorname{Re}(\phi) \le \frac{\pi}{2}| Fungrim symbol | Notation | Short description |
|---|---|---|
| IncompleteEllipticPi | Π(n,ϕ,m) | Legendre incomplete elliptic integral of the third kind |
| Sin | sin(z) | Sine |
| CarlsonRF | RF(x,y,z) | Carlson symmetric elliptic integral of the first kind |
| Pow | ab | Power |
| Cos | cos(z) | Cosine |
| CarlsonRJ | RJ(x,y,z,w) | Carlson symmetric elliptic integral of the third kind |
| CC | C | Complex numbers |
| Pi | π | The constant pi (3.14...) |
| Re | Re(z) | Real part |
Entry(ID("8f4e31"),
Formula(Equal(IncompleteEllipticPi(n, phi, m), Add(Mul(Sin(phi), CarlsonRF(Pow(Cos(phi), 2), Sub(1, Mul(m, Pow(Sin(phi), 2))), 1)), Mul(Mul(Mul(Div(1, 3), n), Pow(Sin(phi), 3)), CarlsonRJ(Pow(Cos(phi), 2), Sub(1, Mul(m, Pow(Sin(phi), 2))), 1, Sub(1, Mul(n, Pow(Sin(phi), 2)))))))),
Variables(n, phi, m),
Assumptions(And(Element(n, CC), Element(phi, CC), Element(m, CC), LessEqual(Div(Neg(Pi), 2), Re(phi), Div(Pi, 2)))))\operatorname{agm}\!\left(a, b\right) = \frac{\pi}{4} \frac{a + b}{K\!\left({\left(\frac{a - b}{a + b}\right)}^{2}\right)}
a \in \mathbb{C} \;\mathbin{\operatorname{and}}\; b \in \mathbb{C} \;\mathbin{\operatorname{and}}\; b \ne 0 \;\mathbin{\operatorname{and}}\; \frac{a}{b} \notin \left(-\infty, 0\right]| Fungrim symbol | Notation | Short description |
|---|---|---|
| AGM | agm(a,b) | Arithmetic-geometric mean |
| Pi | π | The constant pi (3.14...) |
| EllipticK | K(m) | Legendre complete elliptic integral of the first kind |
| Pow | ab | Power |
| CC | C | Complex numbers |
| OpenClosedInterval | (a,b] | Open-closed interval |
| Infinity | ∞ | Positive infinity |
Entry(ID("71a0ff"),
Formula(Equal(AGM(a, b), Mul(Div(Pi, 4), Div(Add(a, b), EllipticK(Pow(Div(Sub(a, b), Add(a, b)), 2)))))),
Variables(a, b),
Assumptions(And(Element(a, CC), Element(b, CC), NotEqual(b, 0), NotElement(Div(a, b), OpenClosedInterval(Neg(Infinity), 0)))))Copyright (C) Fredrik Johansson and contributors. Fungrim is provided under the MIT license. The source code is on GitHub.
2021-03-15 19:12:00.328586 UTC