Table of contents: Definitions - Illustrations - Integral representations - Connection formulas - Symmetry - Scale invariance - Domain - Representation of other functions - Specific values - Functional equations - Derivatives and differential equations - Series representations - Bounds and inequalities
| Fungrim symbol | Notation | Short description |
|---|---|---|
| CarlsonRF | RF(x,y,z) | Carlson symmetric elliptic integral of the first kind |
Entry(ID("5cd377"),
SymbolDefinition(CarlsonRF, CarlsonRF(x, y, z), "Carlson symmetric elliptic integral of the first kind"))| Fungrim symbol | Notation | Short description |
|---|---|---|
| CarlsonRG | RG(x,y,z) | Carlson symmetric elliptic integral of the second kind |
Entry(ID("8f7c2a"),
SymbolDefinition(CarlsonRG, CarlsonRG(x, y, z), "Carlson symmetric elliptic integral of the second kind"))| Fungrim symbol | Notation | Short description |
|---|---|---|
| CarlsonRJ | RJ(x,y,z,w) | Carlson symmetric elliptic integral of the third kind |
Entry(ID("bac745"),
SymbolDefinition(CarlsonRJ, CarlsonRJ(x, y, z, w), "Carlson symmetric elliptic integral of the third kind"))| Fungrim symbol | Notation | Short description |
|---|---|---|
| CarlsonRD | RD(x,y,z) | Degenerate Carlson symmetric elliptic integral of the third kind |
Entry(ID("663d75"),
SymbolDefinition(CarlsonRD, CarlsonRD(x, y, z), "Degenerate Carlson symmetric elliptic integral of the third kind"))| Fungrim symbol | Notation | Short description |
|---|---|---|
| CarlsonRC | RC(x,y) | Degenerate Carlson symmetric elliptic integral of the first kind |
Entry(ID("132ec5"),
SymbolDefinition(CarlsonRC, CarlsonRC(x, y), "Degenerate Carlson symmetric elliptic integral of the first kind"))| Fungrim symbol | Notation | Short description |
|---|---|---|
| CarlsonRF | RF(x,y,z) | Carlson symmetric elliptic integral of the first kind |
| ClosedInterval | [a,b] | Closed interval |
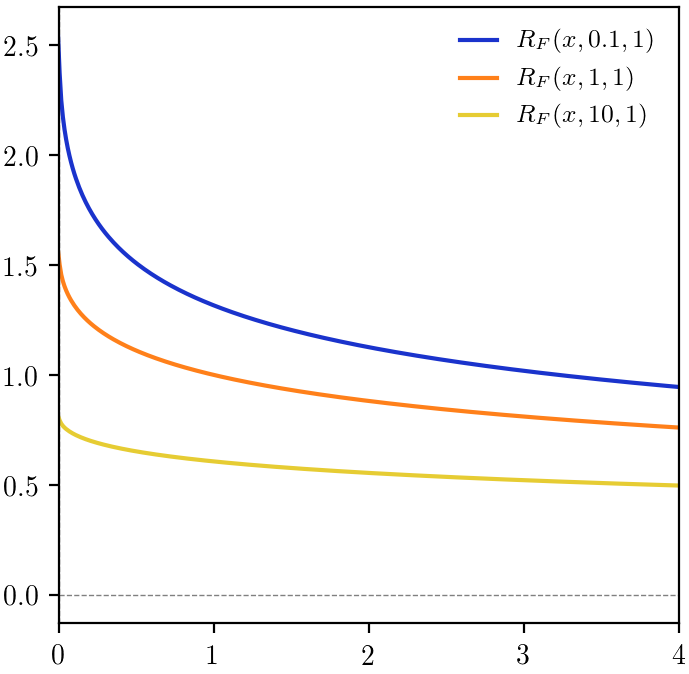
Entry(ID("b0921b"),
Image(Description("Plot of", CarlsonRF(x, y, 1), "on", Element(x, ClosedInterval(0, 4)), "for", Element(y, Set(Decimal("0.1"), 1, 10))), ImageSource("plot_carlson_rf")))| Fungrim symbol | Notation | Short description |
|---|---|---|
| CarlsonRG | RG(x,y,z) | Carlson symmetric elliptic integral of the second kind |
| ClosedInterval | [a,b] | Closed interval |
Entry(ID("6ae152"),
Image(Description("Plot of", CarlsonRG(x, y, 1), "on", Element(x, ClosedInterval(0, 4)), "for", Element(y, Set(Decimal("0.1"), 1, 10))), ImageSource("plot_carlson_rg")))| Fungrim symbol | Notation | Short description |
|---|---|---|
| CarlsonRF | RF(x,y,z) | Carlson symmetric elliptic integral of the first kind |
| ClosedInterval | [a,b] | Closed interval |
| ConstI | i | Imaginary unit |
| Im | Im(z) | Imaginary part |
| Re | Re(z) | Real part |
| Abs | ∣z∣ | Absolute value |
Entry(ID("cc234c"),
Image(Description("X-ray of", CarlsonRF(z, 1, 2), "on", Element(z, Add(ClosedInterval(-4, 4), Mul(ClosedInterval(-4, 4), ConstI)))), ImageSource("xray_carlson_rf")),
Description("An X-ray plot illustrates the geometry of a complex analytic function", f(z), ".", "Thick black curves show where", Equal(Im(f(z)), 0), "(the function is pure real).", "Thick red curves show where", Equal(Re(f(z)), 0), "(the function is pure imaginary).", "Points where black and red curves intersect are zeros or poles.", "Magnitude level curves", Equal(Abs(f(z)), C), "are rendered as thin gray curves, with brighter shades corresponding to larger", C, ".", "Blue lines show branch cuts.", "The value of the function is continuous with the branch cut on the side indicated with a solid line, and discontinuous on the side indicated with a dashed line.", "Yellow is used to highlight important regions."))R_F\!\left(x, y, z\right) = \frac{1}{2} \int_{0}^{\infty} \frac{1}{\sqrt{t + x} \sqrt{t + y} \sqrt{t + z}} \, dt
x \in \mathbb{C} \setminus \left(-\infty, 0\right) \;\mathbin{\operatorname{and}}\; y \in \mathbb{C} \setminus \left(-\infty, 0\right) \;\mathbin{\operatorname{and}}\; z \in \mathbb{C} \setminus \left(-\infty, 0\right) \;\mathbin{\operatorname{and}}\; \left(\left(x \ne 0 \;\mathbin{\operatorname{and}}\; y \ne 0\right) \;\mathbin{\operatorname{or}}\; \left(x \ne 0 \;\mathbin{\operatorname{and}}\; z \ne 0\right) \;\mathbin{\operatorname{or}}\; \left(y \ne 0 \;\mathbin{\operatorname{and}}\; z \ne 0\right)\right)| Fungrim symbol | Notation | Short description |
|---|---|---|
| CarlsonRF | RF(x,y,z) | Carlson symmetric elliptic integral of the first kind |
| Integral | ∫abf(x)dx | Integral |
| Sqrt | z | Principal square root |
| Infinity | ∞ | Positive infinity |
| CC | C | Complex numbers |
| OpenInterval | (a,b) | Open interval |
Entry(ID("9357b9"),
Formula(Equal(CarlsonRF(x, y, z), Mul(Div(1, 2), Integral(Div(1, Mul(Mul(Sqrt(Add(t, x)), Sqrt(Add(t, y))), Sqrt(Add(t, z)))), For(t, 0, Infinity))))),
Variables(x, y, z),
Assumptions(And(Element(x, SetMinus(CC, OpenInterval(Neg(Infinity), 0))), Element(y, SetMinus(CC, OpenInterval(Neg(Infinity), 0))), Element(z, SetMinus(CC, OpenInterval(Neg(Infinity), 0))), Or(And(NotEqual(x, 0), NotEqual(y, 0)), And(NotEqual(x, 0), NotEqual(z, 0)), And(NotEqual(y, 0), NotEqual(z, 0))))))R_G\!\left(x, y, z\right) = \frac{1}{4} \int_{0}^{\infty} \frac{t}{\sqrt{t + x} \sqrt{t + y} \sqrt{t + z}} \left(\frac{x}{t + x} + \frac{y}{t + y} + \frac{z}{t + z}\right) \, dt
x \in \mathbb{C} \setminus \left(-\infty, 0\right) \;\mathbin{\operatorname{and}}\; y \in \mathbb{C} \setminus \left(-\infty, 0\right) \;\mathbin{\operatorname{and}}\; z \in \mathbb{C} \setminus \left(-\infty, 0\right)| Fungrim symbol | Notation | Short description |
|---|---|---|
| CarlsonRG | RG(x,y,z) | Carlson symmetric elliptic integral of the second kind |
| Integral | ∫abf(x)dx | Integral |
| Sqrt | z | Principal square root |
| Infinity | ∞ | Positive infinity |
| CC | C | Complex numbers |
| OpenInterval | (a,b) | Open interval |
Entry(ID("dab889"),
Formula(Equal(CarlsonRG(x, y, z), Mul(Div(1, 4), Integral(Mul(Div(t, Mul(Mul(Sqrt(Add(t, x)), Sqrt(Add(t, y))), Sqrt(Add(t, z)))), Add(Add(Div(x, Add(t, x)), Div(y, Add(t, y))), Div(z, Add(t, z)))), For(t, 0, Infinity))))),
Variables(x, y, z),
Assumptions(And(Element(x, SetMinus(CC, OpenInterval(Neg(Infinity), 0))), Element(y, SetMinus(CC, OpenInterval(Neg(Infinity), 0))), Element(z, SetMinus(CC, OpenInterval(Neg(Infinity), 0))))))R_J\!\left(x, y, z, w\right) = \frac{3}{2} \int_{0}^{\infty} \frac{1}{\left(t + w\right) \sqrt{t + x} \sqrt{t + y} \sqrt{t + z}} \, dt
x \in \mathbb{C} \setminus \left(-\infty, 0\right) \;\mathbin{\operatorname{and}}\; y \in \mathbb{C} \setminus \left(-\infty, 0\right) \;\mathbin{\operatorname{and}}\; z \in \mathbb{C} \setminus \left(-\infty, 0\right) \;\mathbin{\operatorname{and}}\; w \in \mathbb{C} \setminus \left(-\infty, 0\right] \;\mathbin{\operatorname{and}}\; \left(\left(x \ne 0 \;\mathbin{\operatorname{and}}\; y \ne 0\right) \;\mathbin{\operatorname{or}}\; \left(x \ne 0 \;\mathbin{\operatorname{and}}\; z \ne 0\right) \;\mathbin{\operatorname{or}}\; \left(y \ne 0 \;\mathbin{\operatorname{and}}\; z \ne 0\right)\right)| Fungrim symbol | Notation | Short description |
|---|---|---|
| CarlsonRJ | RJ(x,y,z,w) | Carlson symmetric elliptic integral of the third kind |
| Integral | ∫abf(x)dx | Integral |
| Sqrt | z | Principal square root |
| Infinity | ∞ | Positive infinity |
| CC | C | Complex numbers |
| OpenInterval | (a,b) | Open interval |
| OpenClosedInterval | (a,b] | Open-closed interval |
Entry(ID("02a8d7"),
Formula(Equal(CarlsonRJ(x, y, z, w), Mul(Div(3, 2), Integral(Div(1, Mul(Mul(Mul(Add(t, w), Sqrt(Add(t, x))), Sqrt(Add(t, y))), Sqrt(Add(t, z)))), For(t, 0, Infinity))))),
Variables(x, y, z, w),
Assumptions(And(Element(x, SetMinus(CC, OpenInterval(Neg(Infinity), 0))), Element(y, SetMinus(CC, OpenInterval(Neg(Infinity), 0))), Element(z, SetMinus(CC, OpenInterval(Neg(Infinity), 0))), Element(w, SetMinus(CC, OpenClosedInterval(Neg(Infinity), 0))), Or(And(NotEqual(x, 0), NotEqual(y, 0)), And(NotEqual(x, 0), NotEqual(z, 0)), And(NotEqual(y, 0), NotEqual(z, 0))))))R_D\!\left(x, y, z\right) = \frac{3}{2} \int_{0}^{\infty} \frac{1}{\left(t + x\right) \left(t + y\right) {\left(t + z\right)}^{3 / 2}} \, dt
x \in \mathbb{C} \setminus \left(-\infty, 0\right) \;\mathbin{\operatorname{and}}\; y \in \mathbb{C} \setminus \left(-\infty, 0\right) \;\mathbin{\operatorname{and}}\; z \in \mathbb{C} \setminus \left(-\infty, 0\right] \;\mathbin{\operatorname{and}}\; \left(x \ne 0 \;\mathbin{\operatorname{or}}\; y \ne 0\right)| Fungrim symbol | Notation | Short description |
|---|---|---|
| CarlsonRD | RD(x,y,z) | Degenerate Carlson symmetric elliptic integral of the third kind |
| Integral | ∫abf(x)dx | Integral |
| Pow | ab | Power |
| Infinity | ∞ | Positive infinity |
| CC | C | Complex numbers |
| OpenInterval | (a,b) | Open interval |
| OpenClosedInterval | (a,b] | Open-closed interval |
Entry(ID("944a14"),
Formula(Equal(CarlsonRD(x, y, z), Mul(Div(3, 2), Integral(Div(1, Mul(Mul(Add(t, x), Add(t, y)), Pow(Add(t, z), Div(3, 2)))), For(t, 0, Infinity))))),
Variables(x, y, z),
Assumptions(And(Element(x, SetMinus(CC, OpenInterval(Neg(Infinity), 0))), Element(y, SetMinus(CC, OpenInterval(Neg(Infinity), 0))), Element(z, SetMinus(CC, OpenClosedInterval(Neg(Infinity), 0))), Or(NotEqual(x, 0), NotEqual(y, 0)))))R_C\!\left(x, y\right) = \frac{1}{2} \int_{0}^{\infty} \frac{1}{\left(t + y\right) \sqrt{t + x}} \, dt
x \in \mathbb{C} \setminus \left(-\infty, 0\right) \;\mathbin{\operatorname{and}}\; y \in \mathbb{C} \setminus \left(-\infty, 0\right]| Fungrim symbol | Notation | Short description |
|---|---|---|
| CarlsonRC | RC(x,y) | Degenerate Carlson symmetric elliptic integral of the first kind |
| Integral | ∫abf(x)dx | Integral |
| Sqrt | z | Principal square root |
| Infinity | ∞ | Positive infinity |
| CC | C | Complex numbers |
| OpenInterval | (a,b) | Open interval |
| OpenClosedInterval | (a,b] | Open-closed interval |
Entry(ID("f3b8dc"),
Formula(Equal(CarlsonRC(x, y), Mul(Div(1, 2), Integral(Div(1, Mul(Add(t, y), Sqrt(Add(t, x)))), For(t, 0, Infinity))))),
Variables(x, y),
Assumptions(And(Element(x, SetMinus(CC, OpenInterval(Neg(Infinity), 0))), Element(y, SetMinus(CC, OpenClosedInterval(Neg(Infinity), 0))))))R_F\!\left(0, y, z\right) = \int_{0}^{\pi / 2} \frac{1}{\sqrt{y \cos^{2}\!\left(\theta\right) + z \sin^{2}\!\left(\theta\right)}} \, d\theta
y \in \mathbb{C} \;\mathbin{\operatorname{and}}\; z \in \mathbb{C} \;\mathbin{\operatorname{and}}\; \operatorname{Re}(y) > 0 \;\mathbin{\operatorname{and}}\; \operatorname{Re}(z) > 0| Fungrim symbol | Notation | Short description |
|---|---|---|
| CarlsonRF | RF(x,y,z) | Carlson symmetric elliptic integral of the first kind |
| Integral | ∫abf(x)dx | Integral |
| Sqrt | z | Principal square root |
| Pow | ab | Power |
| Cos | cos(z) | Cosine |
| Sin | sin(z) | Sine |
| Pi | π | The constant pi (3.14...) |
| CC | C | Complex numbers |
| Re | Re(z) | Real part |
Entry(ID("da16db"),
Formula(Equal(CarlsonRF(0, y, z), Integral(Div(1, Sqrt(Add(Mul(y, Pow(Cos(theta), 2)), Mul(z, Pow(Sin(theta), 2))))), For(theta, 0, Div(Pi, 2))))),
Variables(y, z),
Assumptions(And(Element(y, CC), Element(z, CC), Greater(Re(y), 0), Greater(Re(z), 0))))R_G\!\left(0, y, z\right) = \frac{1}{2} \int_{0}^{\pi / 2} \sqrt{y \cos^{2}\!\left(\theta\right) + z \sin^{2}\!\left(\theta\right)} \, d\theta
y \in \mathbb{C} \;\mathbin{\operatorname{and}}\; z \in \mathbb{C} \;\mathbin{\operatorname{and}}\; \operatorname{Re}(y) \ge 0 \;\mathbin{\operatorname{and}}\; \operatorname{Re}(z) \ge 0| Fungrim symbol | Notation | Short description |
|---|---|---|
| CarlsonRG | RG(x,y,z) | Carlson symmetric elliptic integral of the second kind |
| Integral | ∫abf(x)dx | Integral |
| Sqrt | z | Principal square root |
| Pow | ab | Power |
| Cos | cos(z) | Cosine |
| Sin | sin(z) | Sine |
| Pi | π | The constant pi (3.14...) |
| CC | C | Complex numbers |
| Re | Re(z) | Real part |
Entry(ID("7fbbe8"),
Formula(Equal(CarlsonRG(0, y, z), Mul(Div(1, 2), Integral(Sqrt(Add(Mul(y, Pow(Cos(theta), 2)), Mul(z, Pow(Sin(theta), 2)))), For(theta, 0, Div(Pi, 2)))))),
Variables(y, z),
Assumptions(And(Element(y, CC), Element(z, CC), GreaterEqual(Re(y), 0), GreaterEqual(Re(z), 0))))R_D\!\left(0, y, z\right) = 3 \int_{0}^{\pi / 2} \frac{\sin^{2}\!\left(\theta\right)}{{\left(y \cos^{2}\!\left(\theta\right) + z \sin^{2}\!\left(\theta\right)\right)}^{3 / 2}} \, d\theta
y \in \mathbb{C} \;\mathbin{\operatorname{and}}\; z \in \mathbb{C} \;\mathbin{\operatorname{and}}\; \operatorname{Re}(y) > 0 \;\mathbin{\operatorname{and}}\; \operatorname{Re}(z) > 0| Fungrim symbol | Notation | Short description |
|---|---|---|
| CarlsonRD | RD(x,y,z) | Degenerate Carlson symmetric elliptic integral of the third kind |
| Integral | ∫abf(x)dx | Integral |
| Pow | ab | Power |
| Sin | sin(z) | Sine |
| Cos | cos(z) | Cosine |
| Pi | π | The constant pi (3.14...) |
| CC | C | Complex numbers |
| Re | Re(z) | Real part |
Entry(ID("9a0bc8"),
Formula(Equal(CarlsonRD(0, y, z), Mul(3, Integral(Div(Pow(Sin(theta), 2), Pow(Add(Mul(y, Pow(Cos(theta), 2)), Mul(z, Pow(Sin(theta), 2))), Div(3, 2))), For(theta, 0, Div(Pi, 2)))))),
Variables(y, z),
Assumptions(And(Element(y, CC), Element(z, CC), Greater(Re(y), 0), Greater(Re(z), 0))))R_F\!\left(x, y, z\right) = \frac{1}{4 \pi} \int_{0}^{2 \pi} \int_{0}^{\pi} \frac{\sin(\theta)}{\sqrt{x \sin^{2}\!\left(\theta\right) \cos^{2}\!\left(\phi\right) + y \sin^{2}\!\left(\theta\right) \sin^{2}\!\left(\phi\right) + z \cos^{2}\!\left(\theta\right)}} \, d\theta \, d\phi
x \in \mathbb{C} \;\mathbin{\operatorname{and}}\; y \in \mathbb{C} \;\mathbin{\operatorname{and}}\; z \in \mathbb{C} \;\mathbin{\operatorname{and}}\; \operatorname{Re}(x) \ge 0 \;\mathbin{\operatorname{and}}\; \operatorname{Re}(y) \ge 0 \;\mathbin{\operatorname{and}}\; \operatorname{Re}(z) \ge 0 \;\mathbin{\operatorname{and}}\; \left(\left(x \ne 0 \;\mathbin{\operatorname{and}}\; y \ne 0\right) \;\mathbin{\operatorname{or}}\; \left(x \ne 0 \;\mathbin{\operatorname{and}}\; z \ne 0\right) \;\mathbin{\operatorname{or}}\; \left(y \ne 0 \;\mathbin{\operatorname{and}}\; z \ne 0\right)\right)| Fungrim symbol | Notation | Short description |
|---|---|---|
| CarlsonRF | RF(x,y,z) | Carlson symmetric elliptic integral of the first kind |
| Pi | π | The constant pi (3.14...) |
| Integral | ∫abf(x)dx | Integral |
| Sin | sin(z) | Sine |
| Sqrt | z | Principal square root |
| Pow | ab | Power |
| Cos | cos(z) | Cosine |
| CC | C | Complex numbers |
| Re | Re(z) | Real part |
Entry(ID("8f0a91"),
Formula(Equal(CarlsonRF(x, y, z), Mul(Div(1, Mul(4, Pi)), Integral(Integral(Div(Sin(theta), Sqrt(Add(Add(Mul(Mul(x, Pow(Sin(theta), 2)), Pow(Cos(phi), 2)), Mul(Mul(y, Pow(Sin(theta), 2)), Pow(Sin(phi), 2))), Mul(z, Pow(Cos(theta), 2))))), For(theta, 0, Pi)), For(phi, 0, Mul(2, Pi)))))),
Variables(x, y, z),
Assumptions(And(Element(x, CC), Element(y, CC), Element(z, CC), GreaterEqual(Re(x), 0), GreaterEqual(Re(y), 0), GreaterEqual(Re(z), 0), Or(And(NotEqual(x, 0), NotEqual(y, 0)), And(NotEqual(x, 0), NotEqual(z, 0)), And(NotEqual(y, 0), NotEqual(z, 0))))))R_G\!\left(x, y, z\right) = \frac{1}{4 \pi} \int_{0}^{2 \pi} \int_{0}^{\pi} \sqrt{x \sin^{2}\!\left(\theta\right) \cos^{2}\!\left(\phi\right) + y \sin^{2}\!\left(\theta\right) \sin^{2}\!\left(\phi\right) + z \cos^{2}\!\left(\theta\right)} \sin(\theta) \, d\theta \, d\phi
x \in \mathbb{C} \;\mathbin{\operatorname{and}}\; y \in \mathbb{C} \;\mathbin{\operatorname{and}}\; z \in \mathbb{C} \;\mathbin{\operatorname{and}}\; \operatorname{Re}(x) \ge 0 \;\mathbin{\operatorname{and}}\; \operatorname{Re}(y) \ge 0 \;\mathbin{\operatorname{and}}\; \operatorname{Re}(z) \ge 0| Fungrim symbol | Notation | Short description |
|---|---|---|
| CarlsonRG | RG(x,y,z) | Carlson symmetric elliptic integral of the second kind |
| Pi | π | The constant pi (3.14...) |
| Integral | ∫abf(x)dx | Integral |
| Sqrt | z | Principal square root |
| Pow | ab | Power |
| Sin | sin(z) | Sine |
| Cos | cos(z) | Cosine |
| CC | C | Complex numbers |
| Re | Re(z) | Real part |
Entry(ID("0d8639"),
Formula(Equal(CarlsonRG(x, y, z), Mul(Div(1, Mul(4, Pi)), Integral(Integral(Mul(Sqrt(Add(Add(Mul(Mul(x, Pow(Sin(theta), 2)), Pow(Cos(phi), 2)), Mul(Mul(y, Pow(Sin(theta), 2)), Pow(Sin(phi), 2))), Mul(z, Pow(Cos(theta), 2)))), Sin(theta)), For(theta, 0, Pi)), For(phi, 0, Mul(2, Pi)))))),
Variables(x, y, z),
Assumptions(And(Element(x, CC), Element(y, CC), Element(z, CC), GreaterEqual(Re(x), 0), GreaterEqual(Re(y), 0), GreaterEqual(Re(z), 0))))R_C\!\left(x, y\right) = R_F\!\left(x, y, y\right)
x \in \mathbb{C} \;\mathbin{\operatorname{and}}\; y \in \mathbb{C}| Fungrim symbol | Notation | Short description |
|---|---|---|
| CarlsonRC | RC(x,y) | Degenerate Carlson symmetric elliptic integral of the first kind |
| CarlsonRF | RF(x,y,z) | Carlson symmetric elliptic integral of the first kind |
| CC | C | Complex numbers |
Entry(ID("61f98d"),
Formula(Equal(CarlsonRC(x, y), CarlsonRF(x, y, y))),
Variables(x, y),
Assumptions(And(Element(x, CC), Element(y, CC))))R_D\!\left(x, y, z\right) = R_J\!\left(x, y, z, z\right)
x \in \mathbb{C} \;\mathbin{\operatorname{and}}\; y \in \mathbb{C} \;\mathbin{\operatorname{and}}\; z \in \mathbb{C}| Fungrim symbol | Notation | Short description |
|---|---|---|
| CarlsonRD | RD(x,y,z) | Degenerate Carlson symmetric elliptic integral of the third kind |
| CarlsonRJ | RJ(x,y,z,w) | Carlson symmetric elliptic integral of the third kind |
| CC | C | Complex numbers |
Entry(ID("409873"),
Formula(Equal(CarlsonRD(x, y, z), CarlsonRJ(x, y, z, z))),
Variables(x, y, z),
Assumptions(And(Element(x, CC), Element(y, CC), Element(z, CC))))2 R_G\!\left(x, y, z\right) = z R_F\!\left(x, y, z\right) - \frac{\left(x - z\right) \left(y - z\right)}{3} R_D\!\left(x, y, z\right) + \frac{\sqrt{x} \sqrt{y}}{\sqrt{z}}
x \in \mathbb{C} \;\mathbin{\operatorname{and}}\; y \in \mathbb{C} \;\mathbin{\operatorname{and}}\; z \in \mathbb{C} \;\mathbin{\operatorname{and}}\; \left(x \ne 0 \;\mathbin{\operatorname{or}}\; y \ne 0\right) \;\mathbin{\operatorname{and}}\; z \ne 0| Fungrim symbol | Notation | Short description |
|---|---|---|
| CarlsonRG | RG(x,y,z) | Carlson symmetric elliptic integral of the second kind |
| CarlsonRF | RF(x,y,z) | Carlson symmetric elliptic integral of the first kind |
| CarlsonRD | RD(x,y,z) | Degenerate Carlson symmetric elliptic integral of the third kind |
| Sqrt | z | Principal square root |
| CC | C | Complex numbers |
Entry(ID("7609c8"),
Formula(Equal(Mul(2, CarlsonRG(x, y, z)), Add(Sub(Mul(z, CarlsonRF(x, y, z)), Mul(Div(Mul(Sub(x, z), Sub(y, z)), 3), CarlsonRD(x, y, z))), Div(Mul(Sqrt(x), Sqrt(y)), Sqrt(z))))),
Variables(x, y, z),
Assumptions(And(Element(x, CC), Element(y, CC), Element(z, CC), Or(NotEqual(x, 0), NotEqual(y, 0)), NotEqual(z, 0))))R_F\!\left(x, y, z\right) = R_F\!\left(x, z, y\right) = R_F\!\left(y, x, z\right) = R_F\!\left(y, z, x\right) = R_F\!\left(z, x, y\right) = R_F\!\left(z, y, x\right)
x \in \mathbb{C} \;\mathbin{\operatorname{and}}\; y \in \mathbb{C} \;\mathbin{\operatorname{and}}\; z \in \mathbb{C}| Fungrim symbol | Notation | Short description |
|---|---|---|
| CarlsonRF | RF(x,y,z) | Carlson symmetric elliptic integral of the first kind |
| CC | C | Complex numbers |
Entry(ID("f29729"),
Formula(Equal(CarlsonRF(x, y, z), CarlsonRF(x, z, y), CarlsonRF(y, x, z), CarlsonRF(y, z, x), CarlsonRF(z, x, y), CarlsonRF(z, y, x))),
Variables(x, y, z),
Assumptions(And(Element(x, CC), Element(y, CC), Element(z, CC))))R_G\!\left(x, y, z\right) = R_G\!\left(x, z, y\right) = R_G\!\left(y, x, z\right) = R_G\!\left(y, z, x\right) = R_G\!\left(z, x, y\right) = R_G\!\left(z, y, x\right)
x \in \mathbb{C} \;\mathbin{\operatorname{and}}\; y \in \mathbb{C} \;\mathbin{\operatorname{and}}\; z \in \mathbb{C}| Fungrim symbol | Notation | Short description |
|---|---|---|
| CarlsonRG | RG(x,y,z) | Carlson symmetric elliptic integral of the second kind |
| CC | C | Complex numbers |
Entry(ID("b478a1"),
Formula(Equal(CarlsonRG(x, y, z), CarlsonRG(x, z, y), CarlsonRG(y, x, z), CarlsonRG(y, z, x), CarlsonRG(z, x, y), CarlsonRG(z, y, x))),
Variables(x, y, z),
Assumptions(And(Element(x, CC), Element(y, CC), Element(z, CC))))R_J\!\left(x, y, z, w\right) = R_J\!\left(x, z, y, w\right) = R_J\!\left(y, x, z, w\right) = R_J\!\left(y, z, x, w\right) = R_J\!\left(z, x, y, w\right) = R_J\!\left(z, y, x, w\right)
x \in \mathbb{C} \;\mathbin{\operatorname{and}}\; y \in \mathbb{C} \;\mathbin{\operatorname{and}}\; z \in \mathbb{C} \;\mathbin{\operatorname{and}}\; w \in \mathbb{C}| Fungrim symbol | Notation | Short description |
|---|---|---|
| CarlsonRJ | RJ(x,y,z,w) | Carlson symmetric elliptic integral of the third kind |
| CC | C | Complex numbers |
Entry(ID("655a2b"),
Formula(Equal(CarlsonRJ(x, y, z, w), CarlsonRJ(x, z, y, w), CarlsonRJ(y, x, z, w), CarlsonRJ(y, z, x, w), CarlsonRJ(z, x, y, w), CarlsonRJ(z, y, x, w))),
Variables(x, y, z, w),
Assumptions(And(Element(x, CC), Element(y, CC), Element(z, CC), Element(w, CC))))R_D\!\left(x, y, z\right) = R_D\!\left(y, x, z\right)
x \in \mathbb{C} \;\mathbin{\operatorname{and}}\; y \in \mathbb{C} \;\mathbin{\operatorname{and}}\; z \in \mathbb{C}| Fungrim symbol | Notation | Short description |
|---|---|---|
| CarlsonRD | RD(x,y,z) | Degenerate Carlson symmetric elliptic integral of the third kind |
| CC | C | Complex numbers |
Entry(ID("1e8061"),
Formula(Equal(CarlsonRD(x, y, z), CarlsonRD(y, x, z))),
Variables(x, y, z),
Assumptions(And(Element(x, CC), Element(y, CC), Element(z, CC))))R_F\!\left(\lambda x, \lambda y, \lambda z\right) = {\lambda}^{-1 / 2} R_F\!\left(x, y, z\right)
x \in \mathbb{C} \;\mathbin{\operatorname{and}}\; y \in \mathbb{C} \;\mathbin{\operatorname{and}}\; z \in \mathbb{C} \;\mathbin{\operatorname{and}}\; \lambda \in \left(0, \infty\right)| Fungrim symbol | Notation | Short description |
|---|---|---|
| CarlsonRF | RF(x,y,z) | Carlson symmetric elliptic integral of the first kind |
| Pow | ab | Power |
| CC | C | Complex numbers |
| OpenInterval | (a,b) | Open interval |
| Infinity | ∞ | Positive infinity |
Entry(ID("7a168a"),
Formula(Equal(CarlsonRF(Mul(lamda, x), Mul(lamda, y), Mul(lamda, z)), Mul(Pow(lamda, Neg(Div(1, 2))), CarlsonRF(x, y, z)))),
Variables(x, y, z, lamda),
Assumptions(And(Element(x, CC), Element(y, CC), Element(z, CC), Element(lamda, OpenInterval(0, Infinity)))))R_G\!\left(\lambda x, \lambda y, \lambda z\right) = {\lambda}^{1 / 2} R_G\!\left(x, y, z\right)
x \in \mathbb{C} \;\mathbin{\operatorname{and}}\; y \in \mathbb{C} \;\mathbin{\operatorname{and}}\; z \in \mathbb{C} \;\mathbin{\operatorname{and}}\; \lambda \in \left(0, \infty\right)| Fungrim symbol | Notation | Short description |
|---|---|---|
| CarlsonRG | RG(x,y,z) | Carlson symmetric elliptic integral of the second kind |
| Pow | ab | Power |
| CC | C | Complex numbers |
| OpenInterval | (a,b) | Open interval |
| Infinity | ∞ | Positive infinity |
Entry(ID("f9ca94"),
Formula(Equal(CarlsonRG(Mul(lamda, x), Mul(lamda, y), Mul(lamda, z)), Mul(Pow(lamda, Div(1, 2)), CarlsonRG(x, y, z)))),
Variables(x, y, z, lamda),
Assumptions(And(Element(x, CC), Element(y, CC), Element(z, CC), Element(lamda, OpenInterval(0, Infinity)))))R_J\!\left(\lambda x, \lambda y, \lambda z, \lambda w\right) = {\lambda}^{-3 / 2} R_J\!\left(x, y, z, w\right)
x \in \mathbb{C} \;\mathbin{\operatorname{and}}\; y \in \mathbb{C} \;\mathbin{\operatorname{and}}\; z \in \mathbb{C} \;\mathbin{\operatorname{and}}\; w \in \mathbb{C} \;\mathbin{\operatorname{and}}\; \lambda \in \left(0, \infty\right)| Fungrim symbol | Notation | Short description |
|---|---|---|
| CarlsonRJ | RJ(x,y,z,w) | Carlson symmetric elliptic integral of the third kind |
| Pow | ab | Power |
| CC | C | Complex numbers |
| OpenInterval | (a,b) | Open interval |
| Infinity | ∞ | Positive infinity |
Entry(ID("4e21c7"),
Formula(Equal(CarlsonRJ(Mul(lamda, x), Mul(lamda, y), Mul(lamda, z), Mul(lamda, w)), Mul(Pow(lamda, Neg(Div(3, 2))), CarlsonRJ(x, y, z, w)))),
Variables(x, y, z, w, lamda),
Assumptions(And(Element(x, CC), Element(y, CC), Element(z, CC), Element(w, CC), Element(lamda, OpenInterval(0, Infinity)))))R_D\!\left(\lambda x, \lambda y, \lambda z\right) = {\lambda}^{-3 / 2} R_D\!\left(x, y, z\right)
x \in \mathbb{C} \;\mathbin{\operatorname{and}}\; y \in \mathbb{C} \;\mathbin{\operatorname{and}}\; z \in \mathbb{C} \;\mathbin{\operatorname{and}}\; \lambda \in \left(0, \infty\right)| Fungrim symbol | Notation | Short description |
|---|---|---|
| CarlsonRD | RD(x,y,z) | Degenerate Carlson symmetric elliptic integral of the third kind |
| Pow | ab | Power |
| CC | C | Complex numbers |
| OpenInterval | (a,b) | Open interval |
| Infinity | ∞ | Positive infinity |
Entry(ID("197a91"),
Formula(Equal(CarlsonRD(Mul(lamda, x), Mul(lamda, y), Mul(lamda, z)), Mul(Pow(lamda, Neg(Div(3, 2))), CarlsonRD(x, y, z)))),
Variables(x, y, z, lamda),
Assumptions(And(Element(x, CC), Element(y, CC), Element(z, CC), Element(lamda, OpenInterval(0, Infinity)))))R_C\!\left(\lambda x, \lambda y\right) = {\lambda}^{-1 / 2} R_C\!\left(x, y\right)
x \in \mathbb{C} \;\mathbin{\operatorname{and}}\; y \in \mathbb{C} \;\mathbin{\operatorname{and}}\; \lambda \in \left(0, \infty\right)| Fungrim symbol | Notation | Short description |
|---|---|---|
| CarlsonRC | RC(x,y) | Degenerate Carlson symmetric elliptic integral of the first kind |
| Pow | ab | Power |
| CC | C | Complex numbers |
| OpenInterval | (a,b) | Open interval |
| Infinity | ∞ | Positive infinity |
Entry(ID("a839d5"),
Formula(Equal(CarlsonRC(Mul(lamda, x), Mul(lamda, y)), Mul(Pow(lamda, Neg(Div(1, 2))), CarlsonRC(x, y)))),
Variables(x, y, lamda),
Assumptions(And(Element(x, CC), Element(y, CC), Element(lamda, OpenInterval(0, Infinity)))))\left(x \in \mathbb{C} \;\mathbin{\operatorname{and}}\; y \in \mathbb{C} \;\mathbin{\operatorname{and}}\; z \in \mathbb{C} \;\mathbin{\operatorname{and}}\; \left(\left(x \ne 0 \;\mathbin{\operatorname{and}}\; y \ne 0\right) \;\mathbin{\operatorname{or}}\; \left(x \ne 0 \;\mathbin{\operatorname{and}}\; z \ne 0\right) \;\mathbin{\operatorname{or}}\; \left(y \ne 0 \;\mathbin{\operatorname{and}}\; z \ne 0\right)\right)\right) \;\implies\; R_F\!\left(x, y, z\right) \in \mathbb{C}| Fungrim symbol | Notation | Short description |
|---|---|---|
| CC | C | Complex numbers |
| CarlsonRF | RF(x,y,z) | Carlson symmetric elliptic integral of the first kind |
Entry(ID("655f6b"),
Formula(Implies(And(Element(x, CC), Element(y, CC), Element(z, CC), Or(And(NotEqual(x, 0), NotEqual(y, 0)), And(NotEqual(x, 0), NotEqual(z, 0)), And(NotEqual(y, 0), NotEqual(z, 0)))), Element(CarlsonRF(x, y, z), CC))),
Variables(x, y, z))\left(x \in \mathbb{C} \;\mathbin{\operatorname{and}}\; y \in \mathbb{C} \;\mathbin{\operatorname{and}}\; z \in \mathbb{C}\right) \;\implies\; R_G\!\left(x, y, z\right) \in \mathbb{C}| Fungrim symbol | Notation | Short description |
|---|---|---|
| CC | C | Complex numbers |
| CarlsonRG | RG(x,y,z) | Carlson symmetric elliptic integral of the second kind |
Entry(ID("c90834"),
Formula(Implies(And(Element(x, CC), Element(y, CC), Element(z, CC)), Element(CarlsonRG(x, y, z), CC))),
Variables(x, y, z))\left(x \in \mathbb{C} \;\mathbin{\operatorname{and}}\; y \in \mathbb{C} \;\mathbin{\operatorname{and}}\; z \in \mathbb{C} \;\mathbin{\operatorname{and}}\; w \in \mathbb{C} \setminus \left\{0\right\} \;\mathbin{\operatorname{and}}\; \left(\left(x \ne 0 \;\mathbin{\operatorname{and}}\; y \ne 0\right) \;\mathbin{\operatorname{or}}\; \left(x \ne 0 \;\mathbin{\operatorname{and}}\; z \ne 0\right) \;\mathbin{\operatorname{or}}\; \left(y \ne 0 \;\mathbin{\operatorname{and}}\; z \ne 0\right)\right)\right) \;\implies\; R_J\!\left(x, y, z, w\right) \in \mathbb{C}| Fungrim symbol | Notation | Short description |
|---|---|---|
| CC | C | Complex numbers |
| CarlsonRJ | RJ(x,y,z,w) | Carlson symmetric elliptic integral of the third kind |
Entry(ID("8bac89"),
Formula(Implies(And(Element(x, CC), Element(y, CC), Element(z, CC), Element(w, SetMinus(CC, Set(0))), Or(And(NotEqual(x, 0), NotEqual(y, 0)), And(NotEqual(x, 0), NotEqual(z, 0)), And(NotEqual(y, 0), NotEqual(z, 0)))), Element(CarlsonRJ(x, y, z, w), CC))),
Variables(x, y, z, w))\left(x \in \mathbb{C} \;\mathbin{\operatorname{and}}\; y \in \mathbb{C} \;\mathbin{\operatorname{and}}\; z \in \mathbb{C} \setminus \left\{0\right\} \;\mathbin{\operatorname{and}}\; \left(x \ne 0 \;\mathbin{\operatorname{or}}\; y \ne 0\right)\right) \;\implies\; R_D\!\left(x, y, z\right) \in \mathbb{C}| Fungrim symbol | Notation | Short description |
|---|---|---|
| CC | C | Complex numbers |
| CarlsonRD | RD(x,y,z) | Degenerate Carlson symmetric elliptic integral of the third kind |
Entry(ID("ba7b32"),
Formula(Implies(And(Element(x, CC), Element(y, CC), Element(z, SetMinus(CC, Set(0))), Or(NotEqual(x, 0), NotEqual(y, 0))), Element(CarlsonRD(x, y, z), CC))),
Variables(x, y, z))\left(x \in \mathbb{C} \;\mathbin{\operatorname{and}}\; y \in \mathbb{C} \setminus \left\{0\right\}\right) \;\implies\; R_C\!\left(x, y\right) \in \mathbb{C}| Fungrim symbol | Notation | Short description |
|---|---|---|
| CC | C | Complex numbers |
| CarlsonRC | RC(x,y) | Degenerate Carlson symmetric elliptic integral of the first kind |
Entry(ID("7aa9be"),
Formula(Implies(And(Element(x, CC), Element(y, SetMinus(CC, Set(0)))), Element(CarlsonRC(x, y), CC))),
Variables(x, y))\left(x \in \left[0, \infty\right) \;\mathbin{\operatorname{and}}\; y \in \left[0, \infty\right) \;\mathbin{\operatorname{and}}\; z \in \left[0, \infty\right) \;\mathbin{\operatorname{and}}\; \left(\left(x \ne 0 \;\mathbin{\operatorname{and}}\; y \ne 0\right) \;\mathbin{\operatorname{or}}\; \left(x \ne 0 \;\mathbin{\operatorname{and}}\; z \ne 0\right) \;\mathbin{\operatorname{or}}\; \left(y \ne 0 \;\mathbin{\operatorname{and}}\; z \ne 0\right)\right)\right) \;\implies\; R_F\!\left(x, y, z\right) \in \left(0, \infty\right)| Fungrim symbol | Notation | Short description |
|---|---|---|
| ClosedOpenInterval | [a,b) | Closed-open interval |
| Infinity | ∞ | Positive infinity |
| CarlsonRF | RF(x,y,z) | Carlson symmetric elliptic integral of the first kind |
| OpenInterval | (a,b) | Open interval |
Entry(ID("cc4cd8"),
Formula(Implies(And(Element(x, ClosedOpenInterval(0, Infinity)), Element(y, ClosedOpenInterval(0, Infinity)), Element(z, ClosedOpenInterval(0, Infinity)), Or(And(NotEqual(x, 0), NotEqual(y, 0)), And(NotEqual(x, 0), NotEqual(z, 0)), And(NotEqual(y, 0), NotEqual(z, 0)))), Element(CarlsonRF(x, y, z), OpenInterval(0, Infinity)))),
Variables(x, y, z))\left(x \in \left[0, \infty\right) \;\mathbin{\operatorname{and}}\; y \in \left[0, \infty\right) \;\mathbin{\operatorname{and}}\; z \in \left[0, \infty\right)\right) \;\implies\; R_G\!\left(x, y, z\right) \in \left[0, \infty\right)| Fungrim symbol | Notation | Short description |
|---|---|---|
| ClosedOpenInterval | [a,b) | Closed-open interval |
| Infinity | ∞ | Positive infinity |
| CarlsonRG | RG(x,y,z) | Carlson symmetric elliptic integral of the second kind |
Entry(ID("9c9173"),
Formula(Implies(And(Element(x, ClosedOpenInterval(0, Infinity)), Element(y, ClosedOpenInterval(0, Infinity)), Element(z, ClosedOpenInterval(0, Infinity))), Element(CarlsonRG(x, y, z), ClosedOpenInterval(0, Infinity)))),
Variables(x, y, z))\left(x \in \left[0, \infty\right) \;\mathbin{\operatorname{and}}\; y \in \left[0, \infty\right) \;\mathbin{\operatorname{and}}\; z \in \left[0, \infty\right) \;\mathbin{\operatorname{and}}\; w \in \left(0, \infty\right) \;\mathbin{\operatorname{and}}\; \left(\left(x \ne 0 \;\mathbin{\operatorname{and}}\; y \ne 0\right) \;\mathbin{\operatorname{or}}\; \left(x \ne 0 \;\mathbin{\operatorname{and}}\; z \ne 0\right) \;\mathbin{\operatorname{or}}\; \left(y \ne 0 \;\mathbin{\operatorname{and}}\; z \ne 0\right)\right)\right) \;\implies\; R_J\!\left(x, y, z, w\right) \in \left(0, \infty\right)| Fungrim symbol | Notation | Short description |
|---|---|---|
| ClosedOpenInterval | [a,b) | Closed-open interval |
| Infinity | ∞ | Positive infinity |
| OpenInterval | (a,b) | Open interval |
| CarlsonRJ | RJ(x,y,z,w) | Carlson symmetric elliptic integral of the third kind |
Entry(ID("671fcb"),
Formula(Implies(And(Element(x, ClosedOpenInterval(0, Infinity)), Element(y, ClosedOpenInterval(0, Infinity)), Element(z, ClosedOpenInterval(0, Infinity)), Element(w, OpenInterval(0, Infinity)), Or(And(NotEqual(x, 0), NotEqual(y, 0)), And(NotEqual(x, 0), NotEqual(z, 0)), And(NotEqual(y, 0), NotEqual(z, 0)))), Element(CarlsonRJ(x, y, z, w), OpenInterval(0, Infinity)))),
Variables(x, y, z, w))\left(x \in \left[0, \infty\right) \;\mathbin{\operatorname{and}}\; y \in \left[0, \infty\right) \;\mathbin{\operatorname{and}}\; z \in \left(0, \infty\right) \;\mathbin{\operatorname{and}}\; \left(x \ne 0 \;\mathbin{\operatorname{or}}\; y \ne 0\right)\right) \;\implies\; R_D\!\left(x, y, z\right) \in \left(0, \infty\right)| Fungrim symbol | Notation | Short description |
|---|---|---|
| ClosedOpenInterval | [a,b) | Closed-open interval |
| Infinity | ∞ | Positive infinity |
| OpenInterval | (a,b) | Open interval |
| CarlsonRD | RD(x,y,z) | Degenerate Carlson symmetric elliptic integral of the third kind |
Entry(ID("8236ff"),
Formula(Implies(And(Element(x, ClosedOpenInterval(0, Infinity)), Element(y, ClosedOpenInterval(0, Infinity)), Element(z, OpenInterval(0, Infinity)), Or(NotEqual(x, 0), NotEqual(y, 0))), Element(CarlsonRD(x, y, z), OpenInterval(0, Infinity)))),
Variables(x, y, z))\left(x \in \left[0, \infty\right) \;\mathbin{\operatorname{and}}\; y \in \left(0, \infty\right)\right) \;\implies\; R_C\!\left(x, y\right) \in \left(0, \infty\right)| Fungrim symbol | Notation | Short description |
|---|---|---|
| ClosedOpenInterval | [a,b) | Closed-open interval |
| Infinity | ∞ | Positive infinity |
| OpenInterval | (a,b) | Open interval |
| CarlsonRC | RC(x,y) | Degenerate Carlson symmetric elliptic integral of the first kind |
Entry(ID("da33ce"),
Formula(Implies(And(Element(x, ClosedOpenInterval(0, Infinity)), Element(y, OpenInterval(0, Infinity))), Element(CarlsonRC(x, y), OpenInterval(0, Infinity)))),
Variables(x, y))f(\alpha) \text{ is holomorphic on } \alpha \in \mathbb{C} \setminus \left(-\infty, 0\right] \;\text{ for all } f \in \left\{\alpha \mapsto R_F\!\left(\alpha, y, z\right), \alpha \mapsto R_F\!\left(x, \alpha, z\right), \alpha \mapsto R_F\!\left(x, y, \alpha\right)\right\}
x \in \mathbb{C} \;\mathbin{\operatorname{and}}\; y \in \mathbb{C} \;\mathbin{\operatorname{and}}\; z \in \mathbb{C} \;\mathbin{\operatorname{and}}\; \left(\left(x \ne 0 \;\mathbin{\operatorname{and}}\; y \ne 0\right) \;\mathbin{\operatorname{or}}\; \left(x \ne 0 \;\mathbin{\operatorname{and}}\; z \ne 0\right) \;\mathbin{\operatorname{or}}\; \left(y \ne 0 \;\mathbin{\operatorname{and}}\; z \ne 0\right)\right)| Fungrim symbol | Notation | Short description |
|---|---|---|
| IsHolomorphic | f(z) is holomorphic at z=c | Holomorphic predicate |
| CC | C | Complex numbers |
| OpenClosedInterval | (a,b] | Open-closed interval |
| Infinity | ∞ | Positive infinity |
| CarlsonRF | RF(x,y,z) | Carlson symmetric elliptic integral of the first kind |
Entry(ID("0ba30f"),
Formula(All(IsHolomorphic(f(alpha), ForElement(alpha, SetMinus(CC, OpenClosedInterval(Neg(Infinity), 0)))), ForElement(f, Set(Fun(alpha, CarlsonRF(alpha, y, z)), Fun(alpha, CarlsonRF(x, alpha, z)), Fun(alpha, CarlsonRF(x, y, alpha)))))),
Variables(x, y, z),
Assumptions(And(Element(x, CC), Element(y, CC), Element(z, CC), Or(And(NotEqual(x, 0), NotEqual(y, 0)), And(NotEqual(x, 0), NotEqual(z, 0)), And(NotEqual(y, 0), NotEqual(z, 0))))))f(\alpha) \text{ is holomorphic on } \alpha \in \mathbb{C} \setminus \left(-\infty, 0\right] \;\text{ for all } f \in \left\{\alpha \mapsto R_G\!\left(\alpha, y, z\right), \alpha \mapsto R_G\!\left(x, \alpha, z\right), \alpha \mapsto R_G\!\left(x, y, \alpha\right)\right\}
x \in \mathbb{C} \;\mathbin{\operatorname{and}}\; y \in \mathbb{C} \;\mathbin{\operatorname{and}}\; z \in \mathbb{C}| Fungrim symbol | Notation | Short description |
|---|---|---|
| IsHolomorphic | f(z) is holomorphic at z=c | Holomorphic predicate |
| CC | C | Complex numbers |
| OpenClosedInterval | (a,b] | Open-closed interval |
| Infinity | ∞ | Positive infinity |
| CarlsonRG | RG(x,y,z) | Carlson symmetric elliptic integral of the second kind |
Entry(ID("c56825"),
Formula(All(IsHolomorphic(f(alpha), ForElement(alpha, SetMinus(CC, OpenClosedInterval(Neg(Infinity), 0)))), ForElement(f, Set(Fun(alpha, CarlsonRG(alpha, y, z)), Fun(alpha, CarlsonRG(x, alpha, z)), Fun(alpha, CarlsonRG(x, y, alpha)))))),
Variables(x, y, z),
Assumptions(And(Element(x, CC), Element(y, CC), Element(z, CC))))f(\alpha) \text{ is holomorphic on } \alpha \in \mathbb{C} \setminus \left(-\infty, 0\right] \;\text{ for all } f \in \left\{\alpha \mapsto R_J\!\left(\alpha, y, z, w\right), \alpha \mapsto R_J\!\left(x, \alpha, z, w\right), \alpha \mapsto R_J\!\left(x, y, \alpha, w\right), \alpha \mapsto R_J\!\left(x, y, w, \alpha\right)\right\}
x \in \mathbb{C} \;\mathbin{\operatorname{and}}\; y \in \mathbb{C} \;\mathbin{\operatorname{and}}\; z \in \mathbb{C} \;\mathbin{\operatorname{and}}\; w \in \mathbb{C} \setminus \left\{0\right\} \;\mathbin{\operatorname{and}}\; \left(\left(x \ne 0 \;\mathbin{\operatorname{and}}\; y \ne 0\right) \;\mathbin{\operatorname{or}}\; \left(x \ne 0 \;\mathbin{\operatorname{and}}\; z \ne 0\right) \;\mathbin{\operatorname{or}}\; \left(y \ne 0 \;\mathbin{\operatorname{and}}\; z \ne 0\right)\right)| Fungrim symbol | Notation | Short description |
|---|---|---|
| IsHolomorphic | f(z) is holomorphic at z=c | Holomorphic predicate |
| CC | C | Complex numbers |
| OpenClosedInterval | (a,b] | Open-closed interval |
| Infinity | ∞ | Positive infinity |
| CarlsonRJ | RJ(x,y,z,w) | Carlson symmetric elliptic integral of the third kind |
Entry(ID("583c27"),
Formula(All(IsHolomorphic(f(alpha), ForElement(alpha, SetMinus(CC, OpenClosedInterval(Neg(Infinity), 0)))), ForElement(f, Set(Fun(alpha, CarlsonRJ(alpha, y, z, w)), Fun(alpha, CarlsonRJ(x, alpha, z, w)), Fun(alpha, CarlsonRJ(x, y, alpha, w)), Fun(alpha, CarlsonRJ(x, y, w, alpha)))))),
Variables(x, y, z, w),
Assumptions(And(Element(x, CC), Element(y, CC), Element(z, CC), Element(w, SetMinus(CC, Set(0))), Or(And(NotEqual(x, 0), NotEqual(y, 0)), And(NotEqual(x, 0), NotEqual(z, 0)), And(NotEqual(y, 0), NotEqual(z, 0))))))f(\alpha) \text{ is holomorphic on } \alpha \in \mathbb{C} \setminus \left(-\infty, 0\right] \;\text{ for all } f \in \left\{\alpha \mapsto R_D\!\left(\alpha, y, z\right), \alpha \mapsto R_D\!\left(x, \alpha, z\right), \alpha \mapsto R_D\!\left(x, y, \alpha\right)\right\}
x \in \mathbb{C} \;\mathbin{\operatorname{and}}\; y \in \mathbb{C} \;\mathbin{\operatorname{and}}\; z \in \mathbb{C} \setminus \left\{0\right\} \;\mathbin{\operatorname{and}}\; \left(x \ne 0 \;\mathbin{\operatorname{or}}\; y \ne 0\right)| Fungrim symbol | Notation | Short description |
|---|---|---|
| IsHolomorphic | f(z) is holomorphic at z=c | Holomorphic predicate |
| CC | C | Complex numbers |
| OpenClosedInterval | (a,b] | Open-closed interval |
| Infinity | ∞ | Positive infinity |
| CarlsonRD | RD(x,y,z) | Degenerate Carlson symmetric elliptic integral of the third kind |
Entry(ID("114f9e"),
Formula(All(IsHolomorphic(f(alpha), ForElement(alpha, SetMinus(CC, OpenClosedInterval(Neg(Infinity), 0)))), ForElement(f, Set(Fun(alpha, CarlsonRD(alpha, y, z)), Fun(alpha, CarlsonRD(x, alpha, z)), Fun(alpha, CarlsonRD(x, y, alpha)))))),
Variables(x, y, z),
Assumptions(And(Element(x, CC), Element(y, CC), Element(z, SetMinus(CC, Set(0))), Or(NotEqual(x, 0), NotEqual(y, 0)))))f(\alpha) \text{ is holomorphic on } \alpha \in \mathbb{C} \setminus \left(-\infty, 0\right] \;\text{ for all } f \in \left\{\alpha \mapsto R_C\!\left(\alpha, y\right), \alpha \mapsto R_C\!\left(x, \alpha\right)\right\}
x \in \mathbb{C} \;\mathbin{\operatorname{and}}\; y \in \mathbb{C} \setminus \left\{0\right\}| Fungrim symbol | Notation | Short description |
|---|---|---|
| IsHolomorphic | f(z) is holomorphic at z=c | Holomorphic predicate |
| CC | C | Complex numbers |
| OpenClosedInterval | (a,b] | Open-closed interval |
| Infinity | ∞ | Positive infinity |
| CarlsonRC | RC(x,y) | Degenerate Carlson symmetric elliptic integral of the first kind |
Entry(ID("73cf98"),
Formula(All(IsHolomorphic(f(alpha), ForElement(alpha, SetMinus(CC, OpenClosedInterval(Neg(Infinity), 0)))), ForElement(f, Set(Fun(alpha, CarlsonRC(alpha, y)), Fun(alpha, CarlsonRC(x, alpha)))))),
Variables(x, y),
Assumptions(And(Element(x, CC), Element(y, SetMinus(CC, Set(0))))))R_F\!\left(x, y, z\right) = \lim_{\varepsilon \to {0}^{+}} R_F\!\left(x + \varepsilon i, y + \varepsilon i, z + \varepsilon i\right)
x \in \mathbb{C} \;\mathbin{\operatorname{and}}\; y \in \mathbb{C} \;\mathbin{\operatorname{and}}\; z \in \mathbb{C} \;\mathbin{\operatorname{and}}\; \left(\left(x \ne 0 \;\mathbin{\operatorname{and}}\; y \ne 0\right) \;\mathbin{\operatorname{or}}\; \left(x \ne 0 \;\mathbin{\operatorname{and}}\; z \ne 0\right) \;\mathbin{\operatorname{or}}\; \left(y \ne 0 \;\mathbin{\operatorname{and}}\; z \ne 0\right)\right)| Fungrim symbol | Notation | Short description |
|---|---|---|
| CarlsonRF | RF(x,y,z) | Carlson symmetric elliptic integral of the first kind |
| RightLimit | limx→a+f(x) | Limiting value, from the right |
| ConstI | i | Imaginary unit |
| CC | C | Complex numbers |
Entry(ID("0d3186"),
Formula(Equal(CarlsonRF(x, y, z), RightLimit(CarlsonRF(Add(x, Mul(epsilon, ConstI)), Add(y, Mul(epsilon, ConstI)), Add(z, Mul(epsilon, ConstI))), For(epsilon, 0)))),
Variables(x, y, z),
Assumptions(And(Element(x, CC), Element(y, CC), Element(z, CC), Or(And(NotEqual(x, 0), NotEqual(y, 0)), And(NotEqual(x, 0), NotEqual(z, 0)), And(NotEqual(y, 0), NotEqual(z, 0))))))R_G\!\left(x, y, z\right) = \lim_{\varepsilon \to {0}^{+}} R_G\!\left(x + \varepsilon i, y + \varepsilon i, z + \varepsilon i\right)
x \in \mathbb{C} \;\mathbin{\operatorname{and}}\; y \in \mathbb{C} \;\mathbin{\operatorname{and}}\; z \in \mathbb{C}| Fungrim symbol | Notation | Short description |
|---|---|---|
| CarlsonRG | RG(x,y,z) | Carlson symmetric elliptic integral of the second kind |
| RightLimit | limx→a+f(x) | Limiting value, from the right |
| ConstI | i | Imaginary unit |
| CC | C | Complex numbers |
Entry(ID("f9b773"),
Formula(Equal(CarlsonRG(x, y, z), RightLimit(CarlsonRG(Add(x, Mul(epsilon, ConstI)), Add(y, Mul(epsilon, ConstI)), Add(z, Mul(epsilon, ConstI))), For(epsilon, 0)))),
Variables(x, y, z),
Assumptions(And(Element(x, CC), Element(y, CC), Element(z, CC))))R_J\!\left(x, y, z, w\right) = \lim_{\varepsilon \to {0}^{+}} R_J\!\left(x + \varepsilon i, y + \varepsilon i, z + \varepsilon i, w + \varepsilon i\right)
x \in \mathbb{C} \;\mathbin{\operatorname{and}}\; y \in \mathbb{C} \;\mathbin{\operatorname{and}}\; z \in \mathbb{C} \;\mathbin{\operatorname{and}}\; w \in \mathbb{C} \setminus \left\{0\right\} \;\mathbin{\operatorname{and}}\; \left(\left(x \ne 0 \;\mathbin{\operatorname{and}}\; y \ne 0\right) \;\mathbin{\operatorname{or}}\; \left(x \ne 0 \;\mathbin{\operatorname{and}}\; z \ne 0\right) \;\mathbin{\operatorname{or}}\; \left(y \ne 0 \;\mathbin{\operatorname{and}}\; z \ne 0\right)\right)| Fungrim symbol | Notation | Short description |
|---|---|---|
| CarlsonRJ | RJ(x,y,z,w) | Carlson symmetric elliptic integral of the third kind |
| RightLimit | limx→a+f(x) | Limiting value, from the right |
| ConstI | i | Imaginary unit |
| CC | C | Complex numbers |
Entry(ID("b8ca70"),
Formula(Equal(CarlsonRJ(x, y, z, w), RightLimit(CarlsonRJ(Add(x, Mul(epsilon, ConstI)), Add(y, Mul(epsilon, ConstI)), Add(z, Mul(epsilon, ConstI)), Add(w, Mul(epsilon, ConstI))), For(epsilon, 0)))),
Variables(x, y, z, w),
Assumptions(And(Element(x, CC), Element(y, CC), Element(z, CC), Element(w, SetMinus(CC, Set(0))), Or(And(NotEqual(x, 0), NotEqual(y, 0)), And(NotEqual(x, 0), NotEqual(z, 0)), And(NotEqual(y, 0), NotEqual(z, 0))))))R_D\!\left(x, y, z\right) = \lim_{\varepsilon \to {0}^{+}} R_D\!\left(x + \varepsilon i, y + \varepsilon i, z + \varepsilon i\right)
x \in \mathbb{C} \;\mathbin{\operatorname{and}}\; y \in \mathbb{C} \;\mathbin{\operatorname{and}}\; z \in \mathbb{C} \setminus \left\{0\right\} \;\mathbin{\operatorname{and}}\; \left(x \ne 0 \;\mathbin{\operatorname{or}}\; y \ne 0\right)| Fungrim symbol | Notation | Short description |
|---|---|---|
| CarlsonRD | RD(x,y,z) | Degenerate Carlson symmetric elliptic integral of the third kind |
| RightLimit | limx→a+f(x) | Limiting value, from the right |
| ConstI | i | Imaginary unit |
| CC | C | Complex numbers |
Entry(ID("9673f7"),
Formula(Equal(CarlsonRD(x, y, z), RightLimit(CarlsonRD(Add(x, Mul(epsilon, ConstI)), Add(y, Mul(epsilon, ConstI)), Add(z, Mul(epsilon, ConstI))), For(epsilon, 0)))),
Variables(x, y, z),
Assumptions(And(Element(x, CC), Element(y, CC), Element(z, SetMinus(CC, Set(0))), Or(NotEqual(x, 0), NotEqual(y, 0)))))R_C\!\left(x, y\right) = \lim_{\varepsilon \to {0}^{+}} R_C\!\left(x + \varepsilon i, y + \varepsilon i\right)
x \in \mathbb{C} \;\mathbin{\operatorname{and}}\; y \in \mathbb{C} \setminus \left\{0\right\}| Fungrim symbol | Notation | Short description |
|---|---|---|
| CarlsonRC | RC(x,y) | Degenerate Carlson symmetric elliptic integral of the first kind |
| RightLimit | limx→a+f(x) | Limiting value, from the right |
| ConstI | i | Imaginary unit |
| CC | C | Complex numbers |
Entry(ID("6923d5"),
Formula(Equal(CarlsonRC(x, y), RightLimit(CarlsonRC(Add(x, Mul(epsilon, ConstI)), Add(y, Mul(epsilon, ConstI))), For(epsilon, 0)))),
Variables(x, y),
Assumptions(And(Element(x, CC), Element(y, SetMinus(CC, Set(0))))))Related topics: Legendre elliptic integrals
K(m) = R_F\!\left(0, 1 - m, 1\right)
m \in \mathbb{C}| Fungrim symbol | Notation | Short description |
|---|---|---|
| EllipticK | K(m) | Legendre complete elliptic integral of the first kind |
| CarlsonRF | RF(x,y,z) | Carlson symmetric elliptic integral of the first kind |
| CC | C | Complex numbers |
Entry(ID("0cc11f"),
Formula(Equal(EllipticK(m), CarlsonRF(0, Sub(1, m), 1))),
Variables(m),
Assumptions(Element(m, CC)))E(m) = 2 R_G\!\left(0, 1 - m, 1\right)
m \in \mathbb{C}| Fungrim symbol | Notation | Short description |
|---|---|---|
| EllipticE | E(m) | Legendre complete elliptic integral of the second kind |
| CarlsonRG | RG(x,y,z) | Carlson symmetric elliptic integral of the second kind |
| CC | C | Complex numbers |
Entry(ID("6520e7"),
Formula(Equal(EllipticE(m), Mul(2, CarlsonRG(0, Sub(1, m), 1)))),
Variables(m),
Assumptions(Element(m, CC)))\Pi\!\left(n, m\right) = R_F\!\left(0, 1 - m, 1\right) + \frac{n}{3} R_J\!\left(0, 1 - m, 1, 1 - n\right)
n \in \mathbb{C} \;\mathbin{\operatorname{and}}\; m \in \mathbb{C} \;\mathbin{\operatorname{and}}\; m \ne 1| Fungrim symbol | Notation | Short description |
|---|---|---|
| EllipticPi | Π(n,m) | Legendre complete elliptic integral of the third kind |
| CarlsonRF | RF(x,y,z) | Carlson symmetric elliptic integral of the first kind |
| CarlsonRJ | RJ(x,y,z,w) | Carlson symmetric elliptic integral of the third kind |
| CC | C | Complex numbers |
Entry(ID("9ccaef"),
Formula(Equal(EllipticPi(n, m), Add(CarlsonRF(0, Sub(1, m), 1), Mul(Div(n, 3), CarlsonRJ(0, Sub(1, m), 1, Sub(1, n)))))),
Variables(n, m),
Assumptions(And(Element(n, CC), Element(m, CC), NotEqual(m, 1))))E(m) = \frac{1 - m}{3} \left(R_D\!\left(0, 1 - m, 1\right) + R_D\!\left(0, 1, 1 - m\right)\right)
m \in \mathbb{C} \;\mathbin{\operatorname{and}}\; m \ne 1| Fungrim symbol | Notation | Short description |
|---|---|---|
| EllipticE | E(m) | Legendre complete elliptic integral of the second kind |
| CarlsonRD | RD(x,y,z) | Degenerate Carlson symmetric elliptic integral of the third kind |
| CC | C | Complex numbers |
Entry(ID("41cf8e"),
Formula(Equal(EllipticE(m), Mul(Div(Sub(1, m), 3), Add(CarlsonRD(0, Sub(1, m), 1), CarlsonRD(0, 1, Sub(1, m)))))),
Variables(m),
Assumptions(And(Element(m, CC), NotEqual(m, 1))))K(m) - E(m) = \frac{m}{3} R_D\!\left(0, 1 - m, 1\right)
m \in \mathbb{C}| Fungrim symbol | Notation | Short description |
|---|---|---|
| EllipticK | K(m) | Legendre complete elliptic integral of the first kind |
| EllipticE | E(m) | Legendre complete elliptic integral of the second kind |
| CarlsonRD | RD(x,y,z) | Degenerate Carlson symmetric elliptic integral of the third kind |
| CC | C | Complex numbers |
Entry(ID("94f646"),
Formula(Equal(Sub(EllipticK(m), EllipticE(m)), Mul(Div(m, 3), CarlsonRD(0, Sub(1, m), 1)))),
Variables(m),
Assumptions(Element(m, CC)))E(m) - \left(1 - m\right) K(m) = \frac{m \left(1 - m\right)}{3} R_D\!\left(0, 1, 1 - m\right)
m \in \mathbb{C}| Fungrim symbol | Notation | Short description |
|---|---|---|
| EllipticE | E(m) | Legendre complete elliptic integral of the second kind |
| EllipticK | K(m) | Legendre complete elliptic integral of the first kind |
| CarlsonRD | RD(x,y,z) | Degenerate Carlson symmetric elliptic integral of the third kind |
| CC | C | Complex numbers |
Entry(ID("55d23d"),
Formula(Equal(Sub(EllipticE(m), Mul(Sub(1, m), EllipticK(m))), Mul(Div(Mul(m, Sub(1, m)), 3), CarlsonRD(0, 1, Sub(1, m))))),
Variables(m),
Assumptions(Element(m, CC)))F\!\left(\phi, m\right) = \sin(\phi) R_F\!\left(\cos^{2}\!\left(\phi\right), 1 - m \sin^{2}\!\left(\phi\right), 1\right)
\phi \in \mathbb{C} \;\mathbin{\operatorname{and}}\; m \in \mathbb{C} \;\mathbin{\operatorname{and}}\; \frac{-\pi}{2} \le \operatorname{Re}(\phi) \le \frac{\pi}{2}| Fungrim symbol | Notation | Short description |
|---|---|---|
| IncompleteEllipticF | F(ϕ,m) | Legendre incomplete elliptic integral of the first kind |
| Sin | sin(z) | Sine |
| CarlsonRF | RF(x,y,z) | Carlson symmetric elliptic integral of the first kind |
| Pow | ab | Power |
| Cos | cos(z) | Cosine |
| CC | C | Complex numbers |
| Pi | π | The constant pi (3.14...) |
| Re | Re(z) | Real part |
Entry(ID("e2445d"),
Formula(Equal(IncompleteEllipticF(phi, m), Mul(Sin(phi), CarlsonRF(Pow(Cos(phi), 2), Sub(1, Mul(m, Pow(Sin(phi), 2))), 1)))),
Variables(phi, m),
Assumptions(And(Element(phi, CC), Element(m, CC), LessEqual(Div(Neg(Pi), 2), Re(phi), Div(Pi, 2)))))E\!\left(\phi, m\right) = \sin(\phi) R_F\!\left(\cos^{2}\!\left(\phi\right), 1 - m \sin^{2}\!\left(\phi\right), 1\right) - \frac{1}{3} m \sin^{3}\!\left(\phi\right) R_D\!\left(\cos^{2}\!\left(\phi\right), 1 - m \sin^{2}\!\left(\phi\right), 1\right)
\phi \in \mathbb{C} \;\mathbin{\operatorname{and}}\; m \in \mathbb{C} \;\mathbin{\operatorname{and}}\; \frac{-\pi}{2} \le \operatorname{Re}(\phi) \le \frac{\pi}{2}| Fungrim symbol | Notation | Short description |
|---|---|---|
| IncompleteEllipticE | E(ϕ,m) | Legendre incomplete elliptic integral of the second kind |
| Sin | sin(z) | Sine |
| CarlsonRF | RF(x,y,z) | Carlson symmetric elliptic integral of the first kind |
| Pow | ab | Power |
| Cos | cos(z) | Cosine |
| CarlsonRD | RD(x,y,z) | Degenerate Carlson symmetric elliptic integral of the third kind |
| CC | C | Complex numbers |
| Pi | π | The constant pi (3.14...) |
| Re | Re(z) | Real part |
Entry(ID("f48f54"),
Formula(Equal(IncompleteEllipticE(phi, m), Sub(Mul(Sin(phi), CarlsonRF(Pow(Cos(phi), 2), Sub(1, Mul(m, Pow(Sin(phi), 2))), 1)), Mul(Mul(Mul(Div(1, 3), m), Pow(Sin(phi), 3)), CarlsonRD(Pow(Cos(phi), 2), Sub(1, Mul(m, Pow(Sin(phi), 2))), 1))))),
Variables(phi, m),
Assumptions(And(Element(phi, CC), Element(m, CC), LessEqual(Div(Neg(Pi), 2), Re(phi), Div(Pi, 2)))))\Pi\!\left(n, \phi, m\right) = \sin(\phi) R_F\!\left(\cos^{2}\!\left(\phi\right), 1 - m \sin^{2}\!\left(\phi\right), 1\right) + \frac{1}{3} n \sin^{3}\!\left(\phi\right) R_J\!\left(\cos^{2}\!\left(\phi\right), 1 - m \sin^{2}\!\left(\phi\right), 1, 1 - n \sin^{2}\!\left(\phi\right)\right)
n \in \mathbb{C} \;\mathbin{\operatorname{and}}\; \phi \in \mathbb{C} \;\mathbin{\operatorname{and}}\; m \in \mathbb{C} \;\mathbin{\operatorname{and}}\; \frac{-\pi}{2} \le \operatorname{Re}(\phi) \le \frac{\pi}{2}| Fungrim symbol | Notation | Short description |
|---|---|---|
| IncompleteEllipticPi | Π(n,ϕ,m) | Legendre incomplete elliptic integral of the third kind |
| Sin | sin(z) | Sine |
| CarlsonRF | RF(x,y,z) | Carlson symmetric elliptic integral of the first kind |
| Pow | ab | Power |
| Cos | cos(z) | Cosine |
| CarlsonRJ | RJ(x,y,z,w) | Carlson symmetric elliptic integral of the third kind |
| CC | C | Complex numbers |
| Pi | π | The constant pi (3.14...) |
| Re | Re(z) | Real part |
Entry(ID("8f4e31"),
Formula(Equal(IncompleteEllipticPi(n, phi, m), Add(Mul(Sin(phi), CarlsonRF(Pow(Cos(phi), 2), Sub(1, Mul(m, Pow(Sin(phi), 2))), 1)), Mul(Mul(Mul(Div(1, 3), n), Pow(Sin(phi), 3)), CarlsonRJ(Pow(Cos(phi), 2), Sub(1, Mul(m, Pow(Sin(phi), 2))), 1, Sub(1, Mul(n, Pow(Sin(phi), 2)))))))),
Variables(n, phi, m),
Assumptions(And(Element(n, CC), Element(phi, CC), Element(m, CC), LessEqual(Div(Neg(Pi), 2), Re(phi), Div(Pi, 2)))))\log\!\left(\frac{x}{y}\right) = \left(x - y\right) R_C\!\left(\frac{{\left(x + y\right)}^{2}}{4}, x y\right)
y \in \left(0, \infty\right) \;\mathbin{\operatorname{and}}\; x \in \left(0, \infty\right)| Fungrim symbol | Notation | Short description |
|---|---|---|
| Log | log(z) | Natural logarithm |
| CarlsonRC | RC(x,y) | Degenerate Carlson symmetric elliptic integral of the first kind |
| Pow | ab | Power |
| OpenInterval | (a,b) | Open interval |
| Infinity | ∞ | Positive infinity |
Entry(ID("398bb7"),
Formula(Equal(Log(Div(x, y)), Mul(Sub(x, y), CarlsonRC(Div(Pow(Add(x, y), 2), 4), Mul(x, y))))),
Variables(x, y),
Assumptions(And(Element(y, OpenInterval(0, Infinity)), Element(x, OpenInterval(0, Infinity)))))\operatorname{atan}\!\left(\frac{x}{y}\right) = x R_C\!\left({y}^{2}, {y}^{2} + {x}^{2}\right)
y \in \left(0, \infty\right) \;\mathbin{\operatorname{and}}\; x \in \mathbb{R}| Fungrim symbol | Notation | Short description |
|---|---|---|
| Atan | atan(z) | Inverse tangent |
| CarlsonRC | RC(x,y) | Degenerate Carlson symmetric elliptic integral of the first kind |
| Pow | ab | Power |
| OpenInterval | (a,b) | Open interval |
| Infinity | ∞ | Positive infinity |
| RR | R | Real numbers |
Entry(ID("7a9dad"),
Formula(Equal(Atan(Div(x, y)), Mul(x, CarlsonRC(Pow(y, 2), Add(Pow(y, 2), Pow(x, 2)))))),
Variables(x, y),
Assumptions(And(Element(y, OpenInterval(0, Infinity)), Element(x, RR))))\operatorname{atanh}\!\left(\frac{x}{y}\right) = x R_C\!\left({y}^{2}, {y}^{2} - {x}^{2}\right)
y \in \left(0, \infty\right) \;\mathbin{\operatorname{and}}\; x \in \left(-y, y\right)| Fungrim symbol | Notation | Short description |
|---|---|---|
| CarlsonRC | RC(x,y) | Degenerate Carlson symmetric elliptic integral of the first kind |
| Pow | ab | Power |
| OpenInterval | (a,b) | Open interval |
| Infinity | ∞ | Positive infinity |
Entry(ID("2cdd2f"),
Formula(Equal(Atanh(Div(x, y)), Mul(x, CarlsonRC(Pow(y, 2), Sub(Pow(y, 2), Pow(x, 2)))))),
Variables(x, y),
Assumptions(And(Element(y, OpenInterval(0, Infinity)), Element(x, OpenInterval(Neg(y), y)))))\operatorname{asin}\!\left(\frac{x}{y}\right) = x R_C\!\left({y}^{2} - {x}^{2}, {y}^{2}\right)
y \in \left(0, \infty\right) \;\mathbin{\operatorname{and}}\; x \in \left[-y, y\right]| Fungrim symbol | Notation | Short description |
|---|---|---|
| CarlsonRC | RC(x,y) | Degenerate Carlson symmetric elliptic integral of the first kind |
| Pow | ab | Power |
| OpenInterval | (a,b) | Open interval |
| Infinity | ∞ | Positive infinity |
| ClosedInterval | [a,b] | Closed interval |
Entry(ID("584a61"),
Formula(Equal(Asin(Div(x, y)), Mul(x, CarlsonRC(Sub(Pow(y, 2), Pow(x, 2)), Pow(y, 2))))),
Variables(x, y),
Assumptions(And(Element(y, OpenInterval(0, Infinity)), Element(x, ClosedInterval(Neg(y), y)))))\operatorname{asinh}\!\left(\frac{x}{y}\right) = x R_C\!\left({y}^{2} + {x}^{2}, {y}^{2}\right)
y \in \left(0, \infty\right) \;\mathbin{\operatorname{and}}\; x \in \mathbb{R}| Fungrim symbol | Notation | Short description |
|---|---|---|
| CarlsonRC | RC(x,y) | Degenerate Carlson symmetric elliptic integral of the first kind |
| Pow | ab | Power |
| OpenInterval | (a,b) | Open interval |
| Infinity | ∞ | Positive infinity |
| RR | R | Real numbers |
Entry(ID("423b36"),
Formula(Equal(Asinh(Div(x, y)), Mul(x, CarlsonRC(Add(Pow(y, 2), Pow(x, 2)), Pow(y, 2))))),
Variables(x, y),
Assumptions(And(Element(y, OpenInterval(0, Infinity)), Element(x, RR))))\operatorname{acos}\!\left(\frac{x}{y}\right) = \sqrt{{y}^{2} - {x}^{2}} R_C\!\left({x}^{2}, {y}^{2}\right)
y \in \left(0, \infty\right) \;\mathbin{\operatorname{and}}\; x \in \left[0, y\right]| Fungrim symbol | Notation | Short description |
|---|---|---|
| Sqrt | z | Principal square root |
| Pow | ab | Power |
| CarlsonRC | RC(x,y) | Degenerate Carlson symmetric elliptic integral of the first kind |
| OpenInterval | (a,b) | Open interval |
| Infinity | ∞ | Positive infinity |
| ClosedInterval | [a,b] | Closed interval |
Entry(ID("33e034"),
Formula(Equal(Acos(Div(x, y)), Mul(Sqrt(Sub(Pow(y, 2), Pow(x, 2))), CarlsonRC(Pow(x, 2), Pow(y, 2))))),
Variables(x, y),
Assumptions(And(Element(y, OpenInterval(0, Infinity)), Element(x, ClosedInterval(0, y)))))\operatorname{acosh}\!\left(\frac{x}{y}\right) = \sqrt{{x}^{2} - {y}^{2}} R_C\!\left({x}^{2}, {y}^{2}\right)
y \in \left(0, \infty\right) \;\mathbin{\operatorname{and}}\; x \in \left[y, \infty\right)| Fungrim symbol | Notation | Short description |
|---|---|---|
| Sqrt | z | Principal square root |
| Pow | ab | Power |
| CarlsonRC | RC(x,y) | Degenerate Carlson symmetric elliptic integral of the first kind |
| OpenInterval | (a,b) | Open interval |
| Infinity | ∞ | Positive infinity |
| ClosedOpenInterval | [a,b) | Closed-open interval |
Entry(ID("d9765b"),
Formula(Equal(Acosh(Div(x, y)), Mul(Sqrt(Sub(Pow(x, 2), Pow(y, 2))), CarlsonRC(Pow(x, 2), Pow(y, 2))))),
Variables(x, y),
Assumptions(And(Element(y, OpenInterval(0, Infinity)), Element(x, ClosedOpenInterval(y, Infinity)))))Related topics: Weierstrass elliptic functions
\wp\!\left(f(z), \tau\right) = z\; \text{ where } f(z) = R_F\!\left(z - e_{1}\!\left(\tau\right), z - e_{2}\!\left(\tau\right), z - e_{3}\!\left(\tau\right)\right)
z \in \mathbb{C} \;\mathbin{\operatorname{and}}\; \tau \in \mathbb{H}| Fungrim symbol | Notation | Short description |
|---|---|---|
| WeierstrassP | ℘(z,τ) | Weierstrass elliptic function |
| CarlsonRF | RF(x,y,z) | Carlson symmetric elliptic integral of the first kind |
| CC | C | Complex numbers |
| HH | H | Upper complex half-plane |
Entry(ID("124339"),
Formula(Where(Equal(WeierstrassP(f(z), tau), z), Def(f(z), CarlsonRF(Sub(z, EllipticRootE(1, tau)), Sub(z, EllipticRootE(2, tau)), Sub(z, EllipticRootE(3, tau)))))),
Variables(z, tau),
Assumptions(And(Element(z, CC), Element(tau, HH))))Related topics: Specific values of Carlson symmetric elliptic integrals
R_C\!\left(1, 1\right) = 1
| Fungrim symbol | Notation | Short description |
|---|---|---|
| CarlsonRC | RC(x,y) | Degenerate Carlson symmetric elliptic integral of the first kind |
Entry(ID("d38c27"),
Formula(Equal(CarlsonRC(1, 1), 1)))R_C\!\left(2, 1\right) = \log\!\left(1 + \sqrt{2}\right)| Fungrim symbol | Notation | Short description |
|---|---|---|
| CarlsonRC | RC(x,y) | Degenerate Carlson symmetric elliptic integral of the first kind |
| Log | log(z) | Natural logarithm |
| Sqrt | z | Principal square root |
Entry(ID("a15c03"),
Formula(Equal(CarlsonRC(2, 1), Log(Add(1, Sqrt(2))))))R_C\!\left(x, y\right) = \begin{cases} \frac{\operatorname{atan}\!\left(\sqrt{\frac{y}{x} - 1}\right)}{\sqrt{y - x}}, & x \ne y\\\frac{1}{\sqrt{x}}, & x = y\\ \end{cases}
x \in \mathbb{C} \;\mathbin{\operatorname{and}}\; y \in \mathbb{C} \;\mathbin{\operatorname{and}}\; \left(x \in \left(0, \infty\right) \;\mathbin{\operatorname{or}}\; \left(y \in \left(0, \infty\right) \;\mathbin{\operatorname{and}}\; x \notin \left(-\infty, 0\right)\right)\right)| Fungrim symbol | Notation | Short description |
|---|---|---|
| CarlsonRC | RC(x,y) | Degenerate Carlson symmetric elliptic integral of the first kind |
| Atan | atan(z) | Inverse tangent |
| Sqrt | z | Principal square root |
| CC | C | Complex numbers |
| OpenInterval | (a,b) | Open interval |
| Infinity | ∞ | Positive infinity |
Entry(ID("7b5755"),
Formula(Equal(CarlsonRC(x, y), Cases(Tuple(Div(Atan(Sqrt(Sub(Div(y, x), 1))), Sqrt(Sub(y, x))), NotEqual(x, y)), Tuple(Div(1, Sqrt(x)), Equal(x, y))))),
Variables(x, y),
Assumptions(And(Element(x, CC), Element(y, CC), Or(Element(x, OpenInterval(0, Infinity)), And(Element(y, OpenInterval(0, Infinity)), NotElement(x, OpenInterval(Neg(Infinity), 0)))))))R_F\!\left(1, 1, 1\right) = 1
| Fungrim symbol | Notation | Short description |
|---|---|---|
| CarlsonRF | RF(x,y,z) | Carlson symmetric elliptic integral of the first kind |
Entry(ID("c166ca"),
Formula(Equal(CarlsonRF(1, 1, 1), 1)))R_F\!\left(1, 1, 2\right) = \log\!\left(1 + \sqrt{2}\right)| Fungrim symbol | Notation | Short description |
|---|---|---|
| CarlsonRF | RF(x,y,z) | Carlson symmetric elliptic integral of the first kind |
| Log | log(z) | Natural logarithm |
| Sqrt | z | Principal square root |
Entry(ID("4cd504"),
Formula(Equal(CarlsonRF(1, 1, 2), Log(Add(1, Sqrt(2))))))R_F\!\left(0, 1, 2\right) = \frac{{\left(\Gamma\!\left(\frac{1}{4}\right)\right)}^{2}}{4 \sqrt{2 \pi}}| Fungrim symbol | Notation | Short description |
|---|---|---|
| CarlsonRF | RF(x,y,z) | Carlson symmetric elliptic integral of the first kind |
| Pow | ab | Power |
| Gamma | Γ(z) | Gamma function |
| Sqrt | z | Principal square root |
| Pi | π | The constant pi (3.14...) |
Entry(ID("28237a"),
Formula(Equal(CarlsonRF(0, 1, 2), Div(Pow(Gamma(Div(1, 4)), 2), Mul(4, Sqrt(Mul(2, Pi)))))))R_F\!\left(x, x, x\right) = \frac{1}{\sqrt{x}}
x \in \mathbb{C}| Fungrim symbol | Notation | Short description |
|---|---|---|
| CarlsonRF | RF(x,y,z) | Carlson symmetric elliptic integral of the first kind |
| Sqrt | z | Principal square root |
| CC | C | Complex numbers |
Entry(ID("9b0388"),
Formula(Equal(CarlsonRF(x, x, x), Div(1, Sqrt(x)))),
Variables(x),
Assumptions(Element(x, CC)))R_F\!\left(x, x, y\right) = R_C\!\left(y, x\right)
x \in \mathbb{C} \;\mathbin{\operatorname{and}}\; y \in \mathbb{C}| Fungrim symbol | Notation | Short description |
|---|---|---|
| CarlsonRF | RF(x,y,z) | Carlson symmetric elliptic integral of the first kind |
| CarlsonRC | RC(x,y) | Degenerate Carlson symmetric elliptic integral of the first kind |
| CC | C | Complex numbers |
Entry(ID("ebaa1a"),
Formula(Equal(CarlsonRF(x, x, y), CarlsonRC(y, x))),
Variables(x, y),
Assumptions(And(Element(x, CC), Element(y, CC))))R_F\!\left(x, x, y\right) = \begin{cases} \frac{\operatorname{atan}\!\left(\sqrt{\frac{x}{y} - 1}\right)}{\sqrt{x - y}}, & x \ne y\\\frac{1}{\sqrt{x}}, & x = y\\ \end{cases}
x \in \mathbb{C} \;\mathbin{\operatorname{and}}\; y \in \mathbb{C} \;\mathbin{\operatorname{and}}\; \left(y \in \left(0, \infty\right) \;\mathbin{\operatorname{or}}\; \left(x \in \left(0, \infty\right) \;\mathbin{\operatorname{and}}\; y \notin \left(-\infty, 0\right)\right)\right)| Fungrim symbol | Notation | Short description |
|---|---|---|
| CarlsonRF | RF(x,y,z) | Carlson symmetric elliptic integral of the first kind |
| Atan | atan(z) | Inverse tangent |
| Sqrt | z | Principal square root |
| CC | C | Complex numbers |
| OpenInterval | (a,b) | Open interval |
| Infinity | ∞ | Positive infinity |
Entry(ID("649dc0"),
Formula(Equal(CarlsonRF(x, x, y), Cases(Tuple(Div(Atan(Sqrt(Sub(Div(x, y), 1))), Sqrt(Sub(x, y))), NotEqual(x, y)), Tuple(Div(1, Sqrt(x)), Equal(x, y))))),
Variables(x, y),
Assumptions(And(Element(x, CC), Element(y, CC), Or(Element(y, OpenInterval(0, Infinity)), And(Element(x, OpenInterval(0, Infinity)), NotElement(y, OpenInterval(Neg(Infinity), 0)))))))R_F\!\left(0, x, y\right) = \frac{K\!\left(1 - \frac{y}{x}\right)}{\sqrt{x}}
x \in \mathbb{C} \;\mathbin{\operatorname{and}}\; y \in \mathbb{C} \;\mathbin{\operatorname{and}}\; \left|\arg(x) - \arg(y)\right| < \pi| Fungrim symbol | Notation | Short description |
|---|---|---|
| CarlsonRF | RF(x,y,z) | Carlson symmetric elliptic integral of the first kind |
| EllipticK | K(m) | Legendre complete elliptic integral of the first kind |
| Sqrt | z | Principal square root |
| CC | C | Complex numbers |
| Abs | ∣z∣ | Absolute value |
| Arg | arg(z) | Complex argument |
| Pi | π | The constant pi (3.14...) |
Entry(ID("415ff0"),
Formula(Equal(CarlsonRF(0, x, y), Div(EllipticK(Sub(1, Div(y, x))), Sqrt(x)))),
Variables(x, y),
Assumptions(And(Element(x, CC), Element(y, CC), Less(Abs(Sub(Arg(x), Arg(y))), Pi))))R_G\!\left(0, 0, 0\right) = 0
| Fungrim symbol | Notation | Short description |
|---|---|---|
| CarlsonRG | RG(x,y,z) | Carlson symmetric elliptic integral of the second kind |
Entry(ID("bcc121"),
Formula(Equal(CarlsonRG(0, 0, 0), 0)))R_G\!\left(0, 0, 1\right) = \frac{1}{2}| Fungrim symbol | Notation | Short description |
|---|---|---|
| CarlsonRG | RG(x,y,z) | Carlson symmetric elliptic integral of the second kind |
Entry(ID("d5ff09"),
Formula(Equal(CarlsonRG(0, 0, 1), Div(1, 2))))R_G\!\left(1, 1, 1\right) = 1
| Fungrim symbol | Notation | Short description |
|---|---|---|
| CarlsonRG | RG(x,y,z) | Carlson symmetric elliptic integral of the second kind |
Entry(ID("250ff1"),
Formula(Equal(CarlsonRG(1, 1, 1), 1)))R_G\!\left(1, 1, 2\right) = \frac{\sqrt{2}}{2} + \frac{\log\!\left(1 + \sqrt{2}\right)}{2}| Fungrim symbol | Notation | Short description |
|---|---|---|
| CarlsonRG | RG(x,y,z) | Carlson symmetric elliptic integral of the second kind |
| Sqrt | z | Principal square root |
| Log | log(z) | Natural logarithm |
Entry(ID("4d7098"),
Formula(Equal(CarlsonRG(1, 1, 2), Add(Div(Sqrt(2), 2), Div(Log(Add(1, Sqrt(2))), 2)))))R_G\!\left(1, 2, 2\right) = \frac{\pi}{4} + \frac{1}{2}| Fungrim symbol | Notation | Short description |
|---|---|---|
| CarlsonRG | RG(x,y,z) | Carlson symmetric elliptic integral of the second kind |
| Pi | π | The constant pi (3.14...) |
Entry(ID("d51efc"),
Formula(Equal(CarlsonRG(1, 2, 2), Add(Div(Pi, 4), Div(1, 2)))))R_G\!\left(0, 1, 2\right) = \frac{{\left(\Gamma\!\left(\frac{1}{4}\right)\right)}^{2}}{8 \sqrt{2 \pi}} + \frac{{\pi}^{3 / 2}}{\sqrt{2} {\left(\Gamma\!\left(\frac{1}{4}\right)\right)}^{2}}| Fungrim symbol | Notation | Short description |
|---|---|---|
| CarlsonRG | RG(x,y,z) | Carlson symmetric elliptic integral of the second kind |
| Pow | ab | Power |
| Gamma | Γ(z) | Gamma function |
| Sqrt | z | Principal square root |
| Pi | π | The constant pi (3.14...) |
Entry(ID("84f403"),
Formula(Equal(CarlsonRG(0, 1, 2), Add(Div(Pow(Gamma(Div(1, 4)), 2), Mul(8, Sqrt(Mul(2, Pi)))), Div(Pow(Pi, Div(3, 2)), Mul(Sqrt(2), Pow(Gamma(Div(1, 4)), 2)))))))R_G\!\left(x, x, x\right) = \sqrt{x}
x \in \mathbb{C}| Fungrim symbol | Notation | Short description |
|---|---|---|
| CarlsonRG | RG(x,y,z) | Carlson symmetric elliptic integral of the second kind |
| Sqrt | z | Principal square root |
| CC | C | Complex numbers |
Entry(ID("990145"),
Formula(Equal(CarlsonRG(x, x, x), Sqrt(x))),
Variables(x),
Assumptions(Element(x, CC)))R_G\!\left(0, 0, x\right) = \frac{\sqrt{x}}{2}
x \in \mathbb{C}| Fungrim symbol | Notation | Short description |
|---|---|---|
| CarlsonRG | RG(x,y,z) | Carlson symmetric elliptic integral of the second kind |
| Sqrt | z | Principal square root |
| CC | C | Complex numbers |
Entry(ID("d829be"),
Formula(Equal(CarlsonRG(0, 0, x), Div(Sqrt(x), 2))),
Variables(x),
Assumptions(Element(x, CC)))R_G\!\left(x, x, y\right) = \frac{1}{2} \begin{cases} x R_C\!\left(y, x\right) + \sqrt{y}, & x \ne 0\\\sqrt{y}, & x = 0\\ \end{cases}
x \in \mathbb{C} \;\mathbin{\operatorname{and}}\; y \in \mathbb{C}| Fungrim symbol | Notation | Short description |
|---|---|---|
| CarlsonRG | RG(x,y,z) | Carlson symmetric elliptic integral of the second kind |
| CarlsonRC | RC(x,y) | Degenerate Carlson symmetric elliptic integral of the first kind |
| Sqrt | z | Principal square root |
| CC | C | Complex numbers |
Entry(ID("120284"),
Formula(Equal(CarlsonRG(x, x, y), Mul(Div(1, 2), Cases(Tuple(Add(Mul(x, CarlsonRC(y, x)), Sqrt(y)), NotEqual(x, 0)), Tuple(Sqrt(y), Equal(x, 0)))))),
Variables(x, y),
Assumptions(And(Element(x, CC), Element(y, CC))))R_G\!\left(0, x, y\right) = \frac{\sqrt{x} E\!\left(1 - \frac{y}{x}\right)}{2}
x \in \mathbb{C} \;\mathbin{\operatorname{and}}\; y \in \mathbb{C} \;\mathbin{\operatorname{and}}\; \left|\arg(x) - \arg(y)\right| < \pi| Fungrim symbol | Notation | Short description |
|---|---|---|
| CarlsonRG | RG(x,y,z) | Carlson symmetric elliptic integral of the second kind |
| Sqrt | z | Principal square root |
| EllipticE | E(m) | Legendre complete elliptic integral of the second kind |
| CC | C | Complex numbers |
| Abs | ∣z∣ | Absolute value |
| Arg | arg(z) | Complex argument |
| Pi | π | The constant pi (3.14...) |
Entry(ID("7cddc6"),
Formula(Equal(CarlsonRG(0, x, y), Div(Mul(Sqrt(x), EllipticE(Sub(1, Div(y, x)))), 2))),
Variables(x, y),
Assumptions(And(Element(x, CC), Element(y, CC), Less(Abs(Sub(Arg(x), Arg(y))), Pi))))R_D\!\left(1, 1, 1\right) = 1
| Fungrim symbol | Notation | Short description |
|---|---|---|
| CarlsonRD | RD(x,y,z) | Degenerate Carlson symmetric elliptic integral of the third kind |
Entry(ID("1c0fee"),
Formula(Equal(CarlsonRD(1, 1, 1), 1)))R_D\!\left(0, 1, 1\right) = \frac{3 \pi}{4}| Fungrim symbol | Notation | Short description |
|---|---|---|
| CarlsonRD | RD(x,y,z) | Degenerate Carlson symmetric elliptic integral of the third kind |
| Pi | π | The constant pi (3.14...) |
Entry(ID("84ea08"),
Formula(Equal(CarlsonRD(0, 1, 1), Div(Mul(3, Pi), 4))))R_D\!\left(0, 2, 1\right) = \frac{3 \sqrt{2} {\pi}^{3 / 2}}{{\left(\Gamma\!\left(\frac{1}{4}\right)\right)}^{2}}| Fungrim symbol | Notation | Short description |
|---|---|---|
| CarlsonRD | RD(x,y,z) | Degenerate Carlson symmetric elliptic integral of the third kind |
| Sqrt | z | Principal square root |
| Pow | ab | Power |
| Pi | π | The constant pi (3.14...) |
| Gamma | Γ(z) | Gamma function |
Entry(ID("63644d"),
Formula(Equal(CarlsonRD(0, 2, 1), Div(Mul(Mul(3, Sqrt(2)), Pow(Pi, Div(3, 2))), Pow(Gamma(Div(1, 4)), 2)))))R_D\!\left(1, 1, 2\right) = 3 \log\!\left(1 + \sqrt{2}\right) - \frac{3 \sqrt{2}}{2}| Fungrim symbol | Notation | Short description |
|---|---|---|
| CarlsonRD | RD(x,y,z) | Degenerate Carlson symmetric elliptic integral of the third kind |
| Log | log(z) | Natural logarithm |
| Sqrt | z | Principal square root |
Entry(ID("f47947"),
Formula(Equal(CarlsonRD(1, 1, 2), Sub(Mul(3, Log(Add(1, Sqrt(2)))), Div(Mul(3, Sqrt(2)), 2)))))R_D\!\left(x, x, x\right) = {x}^{-3 / 2}
x \in \mathbb{C}| Fungrim symbol | Notation | Short description |
|---|---|---|
| CarlsonRD | RD(x,y,z) | Degenerate Carlson symmetric elliptic integral of the third kind |
| Pow | ab | Power |
| CC | C | Complex numbers |
Entry(ID("ccb4d1"),
Formula(Equal(CarlsonRD(x, x, x), Pow(x, Neg(Div(3, 2))))),
Variables(x),
Assumptions(Element(x, CC)))R_D\!\left(0, y, z\right) = {z}^{-3 / 2} \begin{cases} \frac{3 \left(K\!\left(1 - \frac{y}{z}\right) - E\!\left(1 - \frac{y}{z}\right)\right)}{1 - \frac{y}{z}}, & y \ne z\\\frac{3 \pi}{4}, & y = z\\ \end{cases}
z \in \mathbb{C} \setminus \left\{0\right\} \;\mathbin{\operatorname{and}}\; y \in \mathbb{C} \;\mathbin{\operatorname{and}}\; \left|\arg(y) - \arg(z)\right| < \pi| Fungrim symbol | Notation | Short description |
|---|---|---|
| CarlsonRD | RD(x,y,z) | Degenerate Carlson symmetric elliptic integral of the third kind |
| Pow | ab | Power |
| EllipticK | K(m) | Legendre complete elliptic integral of the first kind |
| EllipticE | E(m) | Legendre complete elliptic integral of the second kind |
| Pi | π | The constant pi (3.14...) |
| CC | C | Complex numbers |
| Abs | ∣z∣ | Absolute value |
| Arg | arg(z) | Complex argument |
Entry(ID("8d0629"),
Formula(Equal(CarlsonRD(0, y, z), Mul(Pow(z, Neg(Div(3, 2))), Cases(Tuple(Div(Mul(3, Sub(EllipticK(Sub(1, Div(y, z))), EllipticE(Sub(1, Div(y, z))))), Sub(1, Div(y, z))), NotEqual(y, z)), Tuple(Div(Mul(3, Pi), 4), Equal(y, z)))))),
Variables(y, z),
Assumptions(And(Element(z, SetMinus(CC, Set(0))), Element(y, CC), Less(Abs(Sub(Arg(y), Arg(z))), Pi))))R_D\!\left(x, y, y\right) = \begin{cases} \frac{3}{2 \left(y - x\right)} \left(R_C\!\left(x, y\right) - \frac{\sqrt{x}}{y}\right), & x \ne y\\{x}^{-3 / 2}, & x = y\\ \end{cases}
x \in \mathbb{C} \;\mathbin{\operatorname{and}}\; y \in \mathbb{C}| Fungrim symbol | Notation | Short description |
|---|---|---|
| CarlsonRD | RD(x,y,z) | Degenerate Carlson symmetric elliptic integral of the third kind |
| CarlsonRC | RC(x,y) | Degenerate Carlson symmetric elliptic integral of the first kind |
| Sqrt | z | Principal square root |
| Pow | ab | Power |
| CC | C | Complex numbers |
Entry(ID("c85c2f"),
Formula(Equal(CarlsonRD(x, y, y), Cases(Tuple(Mul(Div(3, Mul(2, Sub(y, x))), Sub(CarlsonRC(x, y), Div(Sqrt(x), y))), NotEqual(x, y)), Tuple(Pow(x, Neg(Div(3, 2))), Equal(x, y))))),
Variables(x, y),
Assumptions(And(Element(x, CC), Element(y, CC))))R_D\!\left(x, x, y\right) = \begin{cases} \frac{3}{y - x} \left(R_C\!\left(y, x\right) - \frac{1}{\sqrt{y}}\right), & x \ne y\\{x}^{-3 / 2}, & x = y\\ \end{cases}
x \in \mathbb{C} \;\mathbin{\operatorname{and}}\; y \in \mathbb{C}| Fungrim symbol | Notation | Short description |
|---|---|---|
| CarlsonRD | RD(x,y,z) | Degenerate Carlson symmetric elliptic integral of the third kind |
| CarlsonRC | RC(x,y) | Degenerate Carlson symmetric elliptic integral of the first kind |
| Sqrt | z | Principal square root |
| Pow | ab | Power |
| CC | C | Complex numbers |
Entry(ID("771801"),
Formula(Equal(CarlsonRD(x, x, y), Cases(Tuple(Mul(Div(3, Sub(y, x)), Sub(CarlsonRC(y, x), Div(1, Sqrt(y)))), NotEqual(x, y)), Tuple(Pow(x, Neg(Div(3, 2))), Equal(x, y))))),
Variables(x, y),
Assumptions(And(Element(x, CC), Element(y, CC))))R_J\!\left(1, 1, 1, 1\right) = 1
| Fungrim symbol | Notation | Short description |
|---|---|---|
| CarlsonRJ | RJ(x,y,z,w) | Carlson symmetric elliptic integral of the third kind |
Entry(ID("e9d5a9"),
Formula(Equal(CarlsonRJ(1, 1, 1, 1), 1)))R_J\!\left(1, 1, 2, 4\right) = \log\!\left(1 + \sqrt{2}\right) - \frac{\sqrt{2} \pi}{8}| Fungrim symbol | Notation | Short description |
|---|---|---|
| CarlsonRJ | RJ(x,y,z,w) | Carlson symmetric elliptic integral of the third kind |
| Log | log(z) | Natural logarithm |
| Sqrt | z | Principal square root |
| Pi | π | The constant pi (3.14...) |
Entry(ID("6e9544"),
Formula(Equal(CarlsonRJ(1, 1, 2, 4), Sub(Log(Add(1, Sqrt(2))), Div(Mul(Sqrt(2), Pi), 8)))))R_J\!\left(0, i, -i, 1\right) = \frac{3 {\left(\Gamma\!\left(\frac{1}{4}\right)\right)}^{2}}{8 \sqrt{\pi}}| Fungrim symbol | Notation | Short description |
|---|---|---|
| CarlsonRJ | RJ(x,y,z,w) | Carlson symmetric elliptic integral of the third kind |
| ConstI | i | Imaginary unit |
| Pow | ab | Power |
| Gamma | Γ(z) | Gamma function |
| Sqrt | z | Principal square root |
| Pi | π | The constant pi (3.14...) |
Entry(ID("1eaaed"),
Formula(Equal(CarlsonRJ(0, ConstI, Neg(ConstI), 1), Div(Mul(3, Pow(Gamma(Div(1, 4)), 2)), Mul(8, Sqrt(Pi))))))R_J\!\left(x, x, x, x\right) = {x}^{-3 / 2}
x \in \mathbb{C}| Fungrim symbol | Notation | Short description |
|---|---|---|
| CarlsonRJ | RJ(x,y,z,w) | Carlson symmetric elliptic integral of the third kind |
| Pow | ab | Power |
| CC | C | Complex numbers |
Entry(ID("4c882a"),
Formula(Equal(CarlsonRJ(x, x, x, x), Pow(x, Neg(Div(3, 2))))),
Variables(x),
Assumptions(Element(x, CC)))R_J\!\left(x, y, y, w\right) = \begin{cases} \frac{3}{w - y} \left(R_C\!\left(x, y\right) - R_C\!\left(x, w\right)\right), & y \ne w\\\frac{3}{2 \left(y - x\right)} \left(R_C\!\left(x, y\right) - \frac{\sqrt{x}}{y}\right), & y = w \;\mathbin{\operatorname{and}}\; x \ne y\\{x}^{-3 / 2}, & x = y = w\\ \end{cases}
x \in \mathbb{C} \;\mathbin{\operatorname{and}}\; y \in \mathbb{C} \;\mathbin{\operatorname{and}}\; w \in \mathbb{C}| Fungrim symbol | Notation | Short description |
|---|---|---|
| CarlsonRJ | RJ(x,y,z,w) | Carlson symmetric elliptic integral of the third kind |
| CarlsonRC | RC(x,y) | Degenerate Carlson symmetric elliptic integral of the first kind |
| Sqrt | z | Principal square root |
| Pow | ab | Power |
| CC | C | Complex numbers |
Entry(ID("d4b12e"),
Formula(Equal(CarlsonRJ(x, y, y, w), Cases(Tuple(Mul(Div(3, Sub(w, y)), Sub(CarlsonRC(x, y), CarlsonRC(x, w))), NotEqual(y, w)), Tuple(Mul(Div(3, Mul(2, Sub(y, x))), Sub(CarlsonRC(x, y), Div(Sqrt(x), y))), And(Equal(y, w), NotEqual(x, y))), Tuple(Pow(x, Neg(Div(3, 2))), Equal(x, y, w))))),
Variables(x, y, w),
Assumptions(And(Element(x, CC), Element(y, CC), Element(w, CC))))R_J\!\left(0, x, x, w\right) = \frac{3 \pi}{2 \left(x \sqrt{w} + w \sqrt{x}\right)}
x \in \mathbb{C} \;\mathbin{\operatorname{and}}\; w \in \mathbb{C} \;\mathbin{\operatorname{and}}\; \left(x \notin \left(-\infty, 0\right) \;\mathbin{\operatorname{or}}\; \operatorname{Im}(w) \ge 0\right)| Fungrim symbol | Notation | Short description |
|---|---|---|
| CarlsonRJ | RJ(x,y,z,w) | Carlson symmetric elliptic integral of the third kind |
| Pi | π | The constant pi (3.14...) |
| Sqrt | z | Principal square root |
| CC | C | Complex numbers |
| OpenInterval | (a,b) | Open interval |
| Infinity | ∞ | Positive infinity |
| Im | Im(z) | Imaginary part |
Entry(ID("f6b4a2"),
Formula(Equal(CarlsonRJ(0, x, x, w), Div(Mul(3, Pi), Mul(2, Add(Mul(x, Sqrt(w)), Mul(w, Sqrt(x))))))),
Variables(x, w),
Assumptions(And(Element(x, CC), Element(w, CC), Or(NotElement(x, OpenInterval(Neg(Infinity), 0)), GreaterEqual(Im(w), 0)))))R_J\!\left(x, y, z, z\right) = R_D\!\left(x, y, z\right)
x \in \mathbb{C} \;\mathbin{\operatorname{and}}\; y \in \mathbb{C} \;\mathbin{\operatorname{and}}\; z \in \mathbb{C}| Fungrim symbol | Notation | Short description |
|---|---|---|
| CarlsonRJ | RJ(x,y,z,w) | Carlson symmetric elliptic integral of the third kind |
| CarlsonRD | RD(x,y,z) | Degenerate Carlson symmetric elliptic integral of the third kind |
| CC | C | Complex numbers |
Entry(ID("3dd30a"),
Formula(Equal(CarlsonRJ(x, y, z, z), CarlsonRD(x, y, z))),
Variables(x, y, z),
Assumptions(And(Element(x, CC), Element(y, CC), Element(z, CC))))R_J\!\left(x, x, x, w\right) = R_D\!\left(w, w, x\right)
x \in \mathbb{C} \;\mathbin{\operatorname{and}}\; w \in \mathbb{C}| Fungrim symbol | Notation | Short description |
|---|---|---|
| CarlsonRJ | RJ(x,y,z,w) | Carlson symmetric elliptic integral of the third kind |
| CarlsonRD | RD(x,y,z) | Degenerate Carlson symmetric elliptic integral of the third kind |
| CC | C | Complex numbers |
Entry(ID("5c6f10"),
Formula(Equal(CarlsonRJ(x, x, x, w), CarlsonRD(w, w, x))),
Variables(x, w),
Assumptions(And(Element(x, CC), Element(w, CC))))R_F\!\left(x, y, z\right) = 2 R_F\!\left(x + \lambda, y + \lambda, z + \lambda\right)\; \text{ where } \lambda = \sqrt{x} \sqrt{y} + \sqrt{y} \sqrt{z} + \sqrt{x} \sqrt{z}
x \in \mathbb{C} \;\mathbin{\operatorname{and}}\; y \in \mathbb{C} \;\mathbin{\operatorname{and}}\; z \in \mathbb{C}| Fungrim symbol | Notation | Short description |
|---|---|---|
| CarlsonRF | RF(x,y,z) | Carlson symmetric elliptic integral of the first kind |
| Sqrt | z | Principal square root |
| CC | C | Complex numbers |
Entry(ID("2499cd"),
Formula(Equal(CarlsonRF(x, y, z), Where(Mul(2, CarlsonRF(Add(x, lamda), Add(y, lamda), Add(z, lamda))), Def(lamda, Add(Add(Mul(Sqrt(x), Sqrt(y)), Mul(Sqrt(y), Sqrt(z))), Mul(Sqrt(x), Sqrt(z))))))),
Variables(x, y, z),
Assumptions(And(Element(x, CC), Element(y, CC), Element(z, CC))))R_F\!\left(x, y, z\right) = R_F\!\left(\frac{x + \lambda}{4}, \frac{y + \lambda}{4}, \frac{z + \lambda}{4}\right)\; \text{ where } \lambda = \sqrt{x} \sqrt{y} + \sqrt{y} \sqrt{z} + \sqrt{x} \sqrt{z}
x \in \mathbb{C} \;\mathbin{\operatorname{and}}\; y \in \mathbb{C} \;\mathbin{\operatorname{and}}\; z \in \mathbb{C}| Fungrim symbol | Notation | Short description |
|---|---|---|
| CarlsonRF | RF(x,y,z) | Carlson symmetric elliptic integral of the first kind |
| Sqrt | z | Principal square root |
| CC | C | Complex numbers |
Entry(ID("8e6189"),
Formula(Equal(CarlsonRF(x, y, z), Where(CarlsonRF(Div(Add(x, lamda), 4), Div(Add(y, lamda), 4), Div(Add(z, lamda), 4)), Def(lamda, Add(Add(Mul(Sqrt(x), Sqrt(y)), Mul(Sqrt(y), Sqrt(z))), Mul(Sqrt(x), Sqrt(z))))))),
Variables(x, y, z),
Assumptions(And(Element(x, CC), Element(y, CC), Element(z, CC))))R_G\!\left(x, y, z\right) = 2 R_G\!\left(x + \lambda, y + \lambda, z + \lambda\right) - \frac{1}{2} \left(\lambda R_F\!\left(x, y, z\right) + \sqrt{x} + \sqrt{y} + \sqrt{z}\right)\; \text{ where } \lambda = \sqrt{x} \sqrt{y} + \sqrt{y} \sqrt{z} + \sqrt{x} \sqrt{z}
x \in \mathbb{C} \;\mathbin{\operatorname{and}}\; y \in \mathbb{C} \;\mathbin{\operatorname{and}}\; z \in \mathbb{C} \;\mathbin{\operatorname{and}}\; \left(\left(x \ne 0 \;\mathbin{\operatorname{and}}\; y \ne 0\right) \;\mathbin{\operatorname{or}}\; \left(x \ne 0 \;\mathbin{\operatorname{and}}\; z \ne 0\right) \;\mathbin{\operatorname{or}}\; \left(y \ne 0 \;\mathbin{\operatorname{and}}\; z \ne 0\right)\right)| Fungrim symbol | Notation | Short description |
|---|---|---|
| CarlsonRG | RG(x,y,z) | Carlson symmetric elliptic integral of the second kind |
| CarlsonRF | RF(x,y,z) | Carlson symmetric elliptic integral of the first kind |
| Sqrt | z | Principal square root |
| CC | C | Complex numbers |
Entry(ID("47cf5d"),
Formula(Equal(CarlsonRG(x, y, z), Where(Sub(Mul(2, CarlsonRG(Add(x, lamda), Add(y, lamda), Add(z, lamda))), Mul(Div(1, 2), Add(Add(Add(Mul(lamda, CarlsonRF(x, y, z)), Sqrt(x)), Sqrt(y)), Sqrt(z)))), Def(lamda, Add(Add(Mul(Sqrt(x), Sqrt(y)), Mul(Sqrt(y), Sqrt(z))), Mul(Sqrt(x), Sqrt(z))))))),
Variables(x, y, z),
Assumptions(And(Element(x, CC), Element(y, CC), Element(z, CC), Or(And(NotEqual(x, 0), NotEqual(y, 0)), And(NotEqual(x, 0), NotEqual(z, 0)), And(NotEqual(y, 0), NotEqual(z, 0))))))R_D\!\left(x, y, z\right) = 2 R_D\!\left(x + \lambda, y + \lambda, z + \lambda\right) + \frac{3}{\sqrt{z} \left(z + \lambda\right)}\; \text{ where } \lambda = \sqrt{x} \sqrt{y} + \sqrt{y} \sqrt{z} + \sqrt{x} \sqrt{z}
x \in \mathbb{C} \;\mathbin{\operatorname{and}}\; y \in \mathbb{C} \;\mathbin{\operatorname{and}}\; z \in \mathbb{C} \;\mathbin{\operatorname{and}}\; z \ne 0| Fungrim symbol | Notation | Short description |
|---|---|---|
| CarlsonRD | RD(x,y,z) | Degenerate Carlson symmetric elliptic integral of the third kind |
| Sqrt | z | Principal square root |
| CC | C | Complex numbers |
Entry(ID("31a3ba"),
Formula(Equal(CarlsonRD(x, y, z), Where(Add(Mul(2, CarlsonRD(Add(x, lamda), Add(y, lamda), Add(z, lamda))), Div(3, Mul(Sqrt(z), Add(z, lamda)))), Def(lamda, Add(Add(Mul(Sqrt(x), Sqrt(y)), Mul(Sqrt(y), Sqrt(z))), Mul(Sqrt(x), Sqrt(z))))))),
Variables(x, y, z),
Assumptions(And(Element(x, CC), Element(y, CC), Element(z, CC), NotEqual(z, 0))))R_J\!\left(x, y, z, w\right) = 2 R_J\!\left(x + \lambda, y + \lambda, z + \lambda, w + \lambda\right) + \frac{6}{d} R_C\!\left(1, 1 + \frac{\delta}{{d}^{2}}\right)\; \text{ where } \lambda = \sqrt{x} \sqrt{y} + \sqrt{y} \sqrt{z} + \sqrt{x} \sqrt{z},\;\delta = \left(w - x\right) \left(w - y\right) \left(w - z\right),\;d = \left(\sqrt{w} + \sqrt{x}\right) \left(\sqrt{w} + \sqrt{y}\right) \left(\sqrt{w} + \sqrt{z}\right)
x \in \mathbb{C} \;\mathbin{\operatorname{and}}\; y \in \mathbb{C} \;\mathbin{\operatorname{and}}\; z \in \mathbb{C} \;\mathbin{\operatorname{and}}\; w \in \mathbb{C} \;\mathbin{\operatorname{and}}\; \operatorname{Re}(x) \ge 0 \;\mathbin{\operatorname{and}}\; \operatorname{Re}(y) \ge 0 \;\mathbin{\operatorname{and}}\; \operatorname{Re}(z) \ge 0 \;\mathbin{\operatorname{and}}\; \operatorname{Re}(w) > 0 \;\mathbin{\operatorname{and}}\; \left(\left(x \ne 0 \;\mathbin{\operatorname{and}}\; y \ne 0\right) \;\mathbin{\operatorname{or}}\; \left(x \ne 0 \;\mathbin{\operatorname{and}}\; z \ne 0\right) \;\mathbin{\operatorname{or}}\; \left(y \ne 0 \;\mathbin{\operatorname{and}}\; z \ne 0\right)\right)| Fungrim symbol | Notation | Short description |
|---|---|---|
| CarlsonRJ | RJ(x,y,z,w) | Carlson symmetric elliptic integral of the third kind |
| CarlsonRC | RC(x,y) | Degenerate Carlson symmetric elliptic integral of the first kind |
| Pow | ab | Power |
| Sqrt | z | Principal square root |
| CC | C | Complex numbers |
| Re | Re(z) | Real part |
Entry(ID("791c44"),
Formula(Equal(CarlsonRJ(x, y, z, w), Where(Add(Mul(2, CarlsonRJ(Add(x, lamda), Add(y, lamda), Add(z, lamda), Add(w, lamda))), Mul(Div(6, d), CarlsonRC(1, Add(1, Div(delta, Pow(d, 2)))))), Def(lamda, Add(Add(Mul(Sqrt(x), Sqrt(y)), Mul(Sqrt(y), Sqrt(z))), Mul(Sqrt(x), Sqrt(z)))), Def(delta, Mul(Mul(Sub(w, x), Sub(w, y)), Sub(w, z))), Def(d, Mul(Mul(Add(Sqrt(w), Sqrt(x)), Add(Sqrt(w), Sqrt(y))), Add(Sqrt(w), Sqrt(z))))))),
Variables(x, y, z, w),
Assumptions(And(Element(x, CC), Element(y, CC), Element(z, CC), Element(w, CC), GreaterEqual(Re(x), 0), GreaterEqual(Re(y), 0), GreaterEqual(Re(z), 0), Greater(Re(w), 0), Or(And(NotEqual(x, 0), NotEqual(y, 0)), And(NotEqual(x, 0), NotEqual(z, 0)), And(NotEqual(y, 0), NotEqual(z, 0))))))R_C\!\left(x, y\right) = 2 R_C\!\left(x + \lambda, y + \lambda\right)\; \text{ where } \lambda = y + 2 \sqrt{x} \sqrt{y}
x \in \mathbb{C} \;\mathbin{\operatorname{and}}\; y \in \mathbb{C}| Fungrim symbol | Notation | Short description |
|---|---|---|
| CarlsonRC | RC(x,y) | Degenerate Carlson symmetric elliptic integral of the first kind |
| Sqrt | z | Principal square root |
| CC | C | Complex numbers |
Entry(ID("8f5d76"),
Formula(Equal(CarlsonRC(x, y), Where(Mul(2, CarlsonRC(Add(x, lamda), Add(y, lamda))), Def(lamda, Add(y, Mul(Mul(2, Sqrt(x)), Sqrt(y))))))),
Variables(x, y),
Assumptions(And(Element(x, CC), Element(y, CC))))R_D\!\left(x, y, z\right) + R_D\!\left(y, z, x\right) + R_D\!\left(z, x, y\right) = \frac{3}{\sqrt{x} \sqrt{y} \sqrt{z}}
x \in \mathbb{C} \;\mathbin{\operatorname{and}}\; y \in \mathbb{C} \;\mathbin{\operatorname{and}}\; z \in \mathbb{C} \;\mathbin{\operatorname{and}}\; x \ne 0 \;\mathbin{\operatorname{and}}\; y \ne 0
z \ne 0| Fungrim symbol | Notation | Short description |
|---|---|---|
| CarlsonRD | RD(x,y,z) | Degenerate Carlson symmetric elliptic integral of the third kind |
| Sqrt | z | Principal square root |
| CC | C | Complex numbers |
Entry(ID("6dda7a"),
Formula(Equal(Add(Add(CarlsonRD(x, y, z), CarlsonRD(y, z, x)), CarlsonRD(z, x, y)), Div(3, Mul(Mul(Sqrt(x), Sqrt(y)), Sqrt(z))))),
Variables(x, y, z),
Assumptions(And(Element(x, CC), Element(y, CC), Element(z, CC), NotEqual(x, 0), NotEqual(y, 0)), NotEqual(z, 0)))R_F\!\left(x + \lambda, y + \lambda, \lambda\right) + R_F\!\left(x + \mu, y + \mu, \mu\right) = R_F\!\left(x, y, 0\right)\; \text{ where } \mu = \frac{x y}{\lambda}
x \in \left(0, \infty\right) \;\mathbin{\operatorname{and}}\; y \in \left(0, \infty\right) \;\mathbin{\operatorname{and}}\; \lambda \in \mathbb{C} \setminus \left(-\infty, 0\right]| Fungrim symbol | Notation | Short description |
|---|---|---|
| CarlsonRF | RF(x,y,z) | Carlson symmetric elliptic integral of the first kind |
| OpenInterval | (a,b) | Open interval |
| Infinity | ∞ | Positive infinity |
| CC | C | Complex numbers |
| OpenClosedInterval | (a,b] | Open-closed interval |
Entry(ID("38fa65"),
Formula(Where(Equal(Add(CarlsonRF(Add(x, lamda), Add(y, lamda), lamda), CarlsonRF(Add(x, mu), Add(y, mu), mu)), CarlsonRF(x, y, 0)), Def(mu, Div(Mul(x, y), lamda)))),
Variables(x, y, lamda),
Assumptions(And(Element(x, OpenInterval(0, Infinity)), Element(y, OpenInterval(0, Infinity)), Element(lamda, SetMinus(CC, OpenClosedInterval(Neg(Infinity), 0))))))R_J\!\left(x + \lambda, y + \lambda, \lambda, w + \lambda\right) + R_J\!\left(x + \mu, y + \mu, \mu, w + \mu\right) = R_J\!\left(x, y, 0, w\right) - 3 R_C\!\left({w}^{2} \left(\lambda + \mu + x + y\right), w \left(w + \lambda\right) \left(w + \mu\right)\right)\; \text{ where } \mu = \frac{x y}{\lambda}
x \in \left(0, \infty\right) \;\mathbin{\operatorname{and}}\; y \in \left(0, \infty\right) \;\mathbin{\operatorname{and}}\; w \in \left(0, \infty\right) \;\mathbin{\operatorname{and}}\; \lambda \in \mathbb{C} \setminus \left(-\infty, 0\right]| Fungrim symbol | Notation | Short description |
|---|---|---|
| CarlsonRJ | RJ(x,y,z,w) | Carlson symmetric elliptic integral of the third kind |
| CarlsonRC | RC(x,y) | Degenerate Carlson symmetric elliptic integral of the first kind |
| Pow | ab | Power |
| OpenInterval | (a,b) | Open interval |
| Infinity | ∞ | Positive infinity |
| CC | C | Complex numbers |
| OpenClosedInterval | (a,b] | Open-closed interval |
Entry(ID("4eac3f"),
Formula(Where(Equal(Add(CarlsonRJ(Add(x, lamda), Add(y, lamda), lamda, Add(w, lamda)), CarlsonRJ(Add(x, mu), Add(y, mu), mu, Add(w, mu))), Sub(CarlsonRJ(x, y, 0, w), Mul(3, CarlsonRC(Mul(Pow(w, 2), Add(Add(Add(lamda, mu), x), y)), Mul(Mul(w, Add(w, lamda)), Add(w, mu)))))), Def(mu, Div(Mul(x, y), lamda)))),
Variables(x, y, w, lamda),
Assumptions(And(Element(x, OpenInterval(0, Infinity)), Element(y, OpenInterval(0, Infinity)), Element(w, OpenInterval(0, Infinity)), Element(lamda, SetMinus(CC, OpenClosedInterval(Neg(Infinity), 0))))))R_D\!\left(\lambda, x + \lambda, y + \lambda\right) + R_D\!\left(\mu, x + \mu, y + \mu\right) = R_D\!\left(0, x, y\right) - \frac{3}{y \sqrt{x + y + \lambda + \mu}}\; \text{ where } \mu = \frac{x y}{\lambda}
x \in \left(0, \infty\right) \;\mathbin{\operatorname{and}}\; y \in \left(0, \infty\right) \;\mathbin{\operatorname{and}}\; \lambda \in \mathbb{C} \setminus \left(-\infty, 0\right]| Fungrim symbol | Notation | Short description |
|---|---|---|
| CarlsonRD | RD(x,y,z) | Degenerate Carlson symmetric elliptic integral of the third kind |
| Sqrt | z | Principal square root |
| OpenInterval | (a,b) | Open interval |
| Infinity | ∞ | Positive infinity |
| CC | C | Complex numbers |
| OpenClosedInterval | (a,b] | Open-closed interval |
Entry(ID("a203e9"),
Formula(Where(Equal(Add(CarlsonRD(lamda, Add(x, lamda), Add(y, lamda)), CarlsonRD(mu, Add(x, mu), Add(y, mu))), Sub(CarlsonRD(0, x, y), Div(3, Mul(y, Sqrt(Add(Add(Add(x, y), lamda), mu)))))), Def(mu, Div(Mul(x, y), lamda)))),
Variables(x, y, lamda),
Assumptions(And(Element(x, OpenInterval(0, Infinity)), Element(y, OpenInterval(0, Infinity)), Element(lamda, SetMinus(CC, OpenClosedInterval(Neg(Infinity), 0))))))x \in \mathbb{C} \setminus \left(-\infty, 0\right] \;\mathbin{\operatorname{and}}\; y \in \mathbb{C} \setminus \left(-\infty, 0\right] \;\mathbin{\operatorname{and}}\; z \in \mathbb{C} \setminus \left(-\infty, 0\right]| Fungrim symbol | Notation | Short description |
|---|---|---|
| ComplexDerivative | dzdf(z) | Complex derivative |
| CarlsonRF | RF(x,y,z) | Carlson symmetric elliptic integral of the first kind |
| CarlsonRD | RD(x,y,z) | Degenerate Carlson symmetric elliptic integral of the third kind |
| CC | C | Complex numbers |
| OpenClosedInterval | (a,b] | Open-closed interval |
| Infinity | ∞ | Positive infinity |
Entry(ID("5f0adb"),
Equal(ComplexDerivative(CarlsonRF(x, y, z), For(x, x)), Neg(Mul(Div(1, 6), CarlsonRD(y, z, x)))),
Variables(x, y, z),
Assumptions(And(Element(x, SetMinus(CC, OpenClosedInterval(Neg(Infinity), 0))), Element(y, SetMinus(CC, OpenClosedInterval(Neg(Infinity), 0))), Element(z, SetMinus(CC, OpenClosedInterval(Neg(Infinity), 0))))))x \in \mathbb{C} \;\mathbin{\operatorname{and}}\; y \in \mathbb{C} \;\mathbin{\operatorname{and}}\; z \in \mathbb{C} \;\mathbin{\operatorname{and}}\; t \in \mathbb{C} \;\mathbin{\operatorname{and}}\; x + t \notin \left(-\infty, 0\right] \;\mathbin{\operatorname{and}}\; y + t \notin \left(-\infty, 0\right] \;\mathbin{\operatorname{and}}\; z + t \notin \left(-\infty, 0\right]| Fungrim symbol | Notation | Short description |
|---|---|---|
| ComplexDerivative | dzdf(z) | Complex derivative |
| CarlsonRG | RG(x,y,z) | Carlson symmetric elliptic integral of the second kind |
| CarlsonRF | RF(x,y,z) | Carlson symmetric elliptic integral of the first kind |
| CC | C | Complex numbers |
| OpenClosedInterval | (a,b] | Open-closed interval |
| Infinity | ∞ | Positive infinity |
Entry(ID("638fa6"),
Equal(ComplexDerivative(CarlsonRG(Add(x, t), Add(y, t), Add(z, t)), For(t, t)), Mul(Div(1, 2), CarlsonRF(Add(x, t), Add(y, t), Add(z, t)))),
Variables(x, y, z, t),
Assumptions(And(Element(x, CC), Element(y, CC), Element(z, CC), Element(t, CC), NotElement(Add(x, t), OpenClosedInterval(Neg(Infinity), 0)), NotElement(Add(y, t), OpenClosedInterval(Neg(Infinity), 0)), NotElement(Add(z, t), OpenClosedInterval(Neg(Infinity), 0)))))x \in \mathbb{C} \setminus \left(-\infty, 0\right] \;\mathbin{\operatorname{and}}\; y \in \mathbb{C} \setminus \left(-\infty, 0\right] \;\mathbin{\operatorname{and}}\; z \in \mathbb{C} \setminus \left(-\infty, 0\right]| Fungrim symbol | Notation | Short description |
|---|---|---|
| ComplexDerivative | dzdf(z) | Complex derivative |
| CarlsonRF | RF(x,y,z) | Carlson symmetric elliptic integral of the first kind |
| Sqrt | z | Principal square root |
| CC | C | Complex numbers |
| OpenClosedInterval | (a,b] | Open-closed interval |
| Infinity | ∞ | Positive infinity |
Entry(ID("ce327b"),
Equal(Add(Add(ComplexDerivative(CarlsonRF(x, y, z), For(x, x)), ComplexDerivative(CarlsonRF(x, y, z), For(y, y))), ComplexDerivative(CarlsonRF(x, y, z), For(z, z))), Neg(Div(1, Mul(Mul(Sqrt(x), Sqrt(y)), Sqrt(z))))),
Variables(x, y, z),
Assumptions(And(Element(x, SetMinus(CC, OpenClosedInterval(Neg(Infinity), 0))), Element(y, SetMinus(CC, OpenClosedInterval(Neg(Infinity), 0))), Element(z, SetMinus(CC, OpenClosedInterval(Neg(Infinity), 0))))))x \in \mathbb{C} \setminus \left(-\infty, 0\right] \;\mathbin{\operatorname{and}}\; y \in \mathbb{C} \setminus \left(-\infty, 0\right] \;\mathbin{\operatorname{and}}\; z \in \mathbb{C} \setminus \left(-\infty, 0\right]| Fungrim symbol | Notation | Short description |
|---|---|---|
| ComplexDerivative | dzdf(z) | Complex derivative |
| CarlsonRG | RG(x,y,z) | Carlson symmetric elliptic integral of the second kind |
| CarlsonRF | RF(x,y,z) | Carlson symmetric elliptic integral of the first kind |
| CC | C | Complex numbers |
| OpenClosedInterval | (a,b] | Open-closed interval |
| Infinity | ∞ | Positive infinity |
Entry(ID("3e1435"),
Equal(Add(Add(ComplexDerivative(CarlsonRG(x, y, z), For(x, x)), ComplexDerivative(CarlsonRG(x, y, z), For(y, y))), ComplexDerivative(CarlsonRG(x, y, z), For(z, z))), Mul(Div(1, 2), CarlsonRF(x, y, z))),
Variables(x, y, z),
Assumptions(And(Element(x, SetMinus(CC, OpenClosedInterval(Neg(Infinity), 0))), Element(y, SetMinus(CC, OpenClosedInterval(Neg(Infinity), 0))), Element(z, SetMinus(CC, OpenClosedInterval(Neg(Infinity), 0))))))x \in \mathbb{C} \setminus \left(-\infty, 0\right] \;\mathbin{\operatorname{and}}\; y \in \mathbb{C} \setminus \left(-\infty, 0\right] \;\mathbin{\operatorname{and}}\; z \in \mathbb{C} \setminus \left(-\infty, 0\right]| Fungrim symbol | Notation | Short description |
|---|---|---|
| ComplexDerivative | dzdf(z) | Complex derivative |
| CarlsonRF | RF(x,y,z) | Carlson symmetric elliptic integral of the first kind |
| CC | C | Complex numbers |
| OpenClosedInterval | (a,b] | Open-closed interval |
| Infinity | ∞ | Positive infinity |
Entry(ID("644d75"),
Equal(Add(Add(Mul(x, ComplexDerivative(CarlsonRF(x, y, z), For(x, x))), Mul(y, ComplexDerivative(CarlsonRF(x, y, z), For(y, y)))), Mul(z, ComplexDerivative(CarlsonRF(x, y, z), For(z, z)))), Neg(Mul(Div(1, 2), CarlsonRF(x, y, z)))),
Variables(x, y, z),
Assumptions(And(Element(x, SetMinus(CC, OpenClosedInterval(Neg(Infinity), 0))), Element(y, SetMinus(CC, OpenClosedInterval(Neg(Infinity), 0))), Element(z, SetMinus(CC, OpenClosedInterval(Neg(Infinity), 0))))))x \in \mathbb{C} \setminus \left(-\infty, 0\right] \;\mathbin{\operatorname{and}}\; y \in \mathbb{C} \setminus \left(-\infty, 0\right]| Fungrim symbol | Notation | Short description |
|---|---|---|
| ComplexDerivative | dzdf(z) | Complex derivative |
| CarlsonRC | RC(x,y) | Degenerate Carlson symmetric elliptic integral of the first kind |
| Sqrt | z | Principal square root |
| Pow | ab | Power |
| CC | C | Complex numbers |
| OpenClosedInterval | (a,b] | Open-closed interval |
| Infinity | ∞ | Positive infinity |
Entry(ID("de8485"),
Equal(ComplexDerivative(CarlsonRC(x, y), For(x, x)), Cases(Tuple(Mul(Div(1, Mul(2, Sub(y, x))), Sub(CarlsonRC(x, y), Div(1, Sqrt(x)))), NotEqual(x, y)), Tuple(Neg(Mul(Div(1, 6), Pow(x, Neg(Div(3, 2))))), Equal(x, y)))),
Variables(x, y),
Assumptions(And(Element(x, SetMinus(CC, OpenClosedInterval(Neg(Infinity), 0))), Element(y, SetMinus(CC, OpenClosedInterval(Neg(Infinity), 0))))))x \in \mathbb{C} \setminus \left(-\infty, 0\right] \;\mathbin{\operatorname{and}}\; y \in \mathbb{C} \setminus \left(-\infty, 0\right] \;\mathbin{\operatorname{and}}\; x \ne y| Fungrim symbol | Notation | Short description |
|---|---|---|
| ComplexDerivative | dzdf(z) | Complex derivative |
| CarlsonRC | RC(x,y) | Degenerate Carlson symmetric elliptic integral of the first kind |
| Sqrt | z | Principal square root |
| Pow | ab | Power |
| CC | C | Complex numbers |
| OpenClosedInterval | (a,b] | Open-closed interval |
| Infinity | ∞ | Positive infinity |
Entry(ID("741859"),
Equal(ComplexDerivative(CarlsonRC(x, y), For(y, y)), Cases(Tuple(Mul(Div(1, Mul(2, Sub(x, y))), Sub(CarlsonRC(x, y), Div(Sqrt(x), y))), NotEqual(x, y)), Tuple(Neg(Mul(Div(1, 3), Pow(x, Neg(Div(3, 2))))), Equal(x, y)))),
Variables(x, y),
Assumptions(And(Element(x, SetMinus(CC, OpenClosedInterval(Neg(Infinity), 0))), Element(y, SetMinus(CC, OpenClosedInterval(Neg(Infinity), 0))), NotEqual(x, y))))Related topics: Series representations of Carlson symmetric elliptic integrals
R_C\!\left(1, x\right) = \,{}_2F_1\!\left(1, \frac{1}{2}, \frac{3}{2}, 1 - x\right)
x \in \mathbb{C}| Fungrim symbol | Notation | Short description |
|---|---|---|
| CarlsonRC | RC(x,y) | Degenerate Carlson symmetric elliptic integral of the first kind |
| Hypergeometric2F1 | 2F1(a,b,c,z) | Gauss hypergeometric function |
| CC | C | Complex numbers |
Entry(ID("72b5bd"),
Formula(Equal(CarlsonRC(1, x), Hypergeometric2F1(1, Div(1, 2), Div(3, 2), Sub(1, x)))),
Variables(x),
Assumptions(Element(x, CC)))R_F\!\left(0, x, 1\right) = \frac{\pi}{2} \,{}_2F_1\!\left(\frac{1}{2}, \frac{1}{2}, 1, 1 - x\right)
x \in \mathbb{C}| Fungrim symbol | Notation | Short description |
|---|---|---|
| CarlsonRF | RF(x,y,z) | Carlson symmetric elliptic integral of the first kind |
| Pi | π | The constant pi (3.14...) |
| Hypergeometric2F1 | 2F1(a,b,c,z) | Gauss hypergeometric function |
| CC | C | Complex numbers |
Entry(ID("b2fdfe"),
Formula(Equal(CarlsonRF(0, x, 1), Mul(Div(Pi, 2), Hypergeometric2F1(Div(1, 2), Div(1, 2), 1, Sub(1, x))))),
Variables(x),
Assumptions(Element(x, CC)))R_G\!\left(0, x, 1\right) = \frac{\pi}{4} \,{}_2F_1\!\left(-\frac{1}{2}, \frac{1}{2}, 1, 1 - x\right)
x \in \mathbb{C}| Fungrim symbol | Notation | Short description |
|---|---|---|
| CarlsonRG | RG(x,y,z) | Carlson symmetric elliptic integral of the second kind |
| Pi | π | The constant pi (3.14...) |
| Hypergeometric2F1 | 2F1(a,b,c,z) | Gauss hypergeometric function |
| CC | C | Complex numbers |
Entry(ID("e98dd0"),
Formula(Equal(CarlsonRG(0, x, 1), Mul(Div(Pi, 4), Hypergeometric2F1(Neg(Div(1, 2)), Div(1, 2), 1, Sub(1, x))))),
Variables(x),
Assumptions(Element(x, CC)))| Fungrim symbol | Notation | Short description |
|---|---|---|
| CarlsonHypergeometricR | R−a(b,z) | Carlson multivariate hypergeometric function |
Entry(ID("b576e6"),
SymbolDefinition(CarlsonHypergeometricR, CarlsonHypergeometricR(Neg(a), b, z), "Carlson multivariate hypergeometric function"),
References("https://dlmf.nist.gov/19.19", "https://doi.org/10.6028/jres.107.034"))R_F\!\left(x, y, z\right) = R_{-1 / 2}\!\left(\left[\frac{1}{2}, \frac{1}{2}, \frac{1}{2}\right], \left[x, y, z\right]\right)
x \in \mathbb{C} \setminus \left(-\infty, 0\right) \;\mathbin{\operatorname{and}}\; y \in \mathbb{C} \setminus \left(-\infty, 0\right) \;\mathbin{\operatorname{and}}\; z \in \mathbb{C} \setminus \left(-\infty, 0\right) \;\mathbin{\operatorname{and}}\; \left(\left(x \ne 0 \;\mathbin{\operatorname{and}}\; y \ne 0\right) \;\mathbin{\operatorname{or}}\; \left(x \ne 0 \;\mathbin{\operatorname{and}}\; z \ne 0\right) \;\mathbin{\operatorname{or}}\; \left(y \ne 0 \;\mathbin{\operatorname{and}}\; z \ne 0\right)\right)| Fungrim symbol | Notation | Short description |
|---|---|---|
| CarlsonRF | RF(x,y,z) | Carlson symmetric elliptic integral of the first kind |
| CarlsonHypergeometricR | R−a(b,z) | Carlson multivariate hypergeometric function |
| CC | C | Complex numbers |
| OpenInterval | (a,b) | Open interval |
| Infinity | ∞ | Positive infinity |
Entry(ID("8f71cb"),
Formula(Equal(CarlsonRF(x, y, z), CarlsonHypergeometricR(Neg(Div(1, 2)), List(Div(1, 2), Div(1, 2), Div(1, 2)), List(x, y, z)))),
Variables(x, y, z),
Assumptions(And(Element(x, SetMinus(CC, OpenInterval(Neg(Infinity), 0))), Element(y, SetMinus(CC, OpenInterval(Neg(Infinity), 0))), Element(z, SetMinus(CC, OpenInterval(Neg(Infinity), 0))), Or(And(NotEqual(x, 0), NotEqual(y, 0)), And(NotEqual(x, 0), NotEqual(z, 0)), And(NotEqual(y, 0), NotEqual(z, 0))))))R_G\!\left(x, y, z\right) = R_{1 / 2}\!\left(\left[\frac{1}{2}, \frac{1}{2}, \frac{1}{2}\right], \left[x, y, z\right]\right)
x \in \mathbb{C} \setminus \left(-\infty, 0\right) \;\mathbin{\operatorname{and}}\; y \in \mathbb{C} \setminus \left(-\infty, 0\right) \;\mathbin{\operatorname{and}}\; z \in \mathbb{C} \setminus \left(-\infty, 0\right)| Fungrim symbol | Notation | Short description |
|---|---|---|
| CarlsonRG | RG(x,y,z) | Carlson symmetric elliptic integral of the second kind |
| CarlsonHypergeometricR | R−a(b,z) | Carlson multivariate hypergeometric function |
| CC | C | Complex numbers |
| OpenInterval | (a,b) | Open interval |
| Infinity | ∞ | Positive infinity |
Entry(ID("fda084"),
Formula(Equal(CarlsonRG(x, y, z), CarlsonHypergeometricR(Div(1, 2), List(Div(1, 2), Div(1, 2), Div(1, 2)), List(x, y, z)))),
Variables(x, y, z),
Assumptions(And(Element(x, SetMinus(CC, OpenInterval(Neg(Infinity), 0))), Element(y, SetMinus(CC, OpenInterval(Neg(Infinity), 0))), Element(z, SetMinus(CC, OpenInterval(Neg(Infinity), 0))))))R_J\!\left(x, y, z, w\right) = R_{-3 / 2}\!\left(\left[\frac{1}{2}, \frac{1}{2}, \frac{1}{2}, 1\right], \left[x, y, z, w\right]\right)
x \in \mathbb{C} \setminus \left(-\infty, 0\right) \;\mathbin{\operatorname{and}}\; y \in \mathbb{C} \setminus \left(-\infty, 0\right) \;\mathbin{\operatorname{and}}\; z \in \mathbb{C} \setminus \left(-\infty, 0\right) \;\mathbin{\operatorname{and}}\; w \in \mathbb{C} \setminus \left(-\infty, 0\right] \;\mathbin{\operatorname{and}}\; \left(\left(x \ne 0 \;\mathbin{\operatorname{and}}\; y \ne 0\right) \;\mathbin{\operatorname{or}}\; \left(x \ne 0 \;\mathbin{\operatorname{and}}\; z \ne 0\right) \;\mathbin{\operatorname{or}}\; \left(y \ne 0 \;\mathbin{\operatorname{and}}\; z \ne 0\right)\right)| Fungrim symbol | Notation | Short description |
|---|---|---|
| CarlsonRJ | RJ(x,y,z,w) | Carlson symmetric elliptic integral of the third kind |
| CarlsonHypergeometricR | R−a(b,z) | Carlson multivariate hypergeometric function |
| CC | C | Complex numbers |
| OpenInterval | (a,b) | Open interval |
| Infinity | ∞ | Positive infinity |
| OpenClosedInterval | (a,b] | Open-closed interval |
Entry(ID("b2cd79"),
Formula(Equal(CarlsonRJ(x, y, z, w), CarlsonHypergeometricR(Neg(Div(3, 2)), List(Div(1, 2), Div(1, 2), Div(1, 2), 1), List(x, y, z, w)))),
Variables(x, y, z, w),
Assumptions(And(Element(x, SetMinus(CC, OpenInterval(Neg(Infinity), 0))), Element(y, SetMinus(CC, OpenInterval(Neg(Infinity), 0))), Element(z, SetMinus(CC, OpenInterval(Neg(Infinity), 0))), Element(w, SetMinus(CC, OpenClosedInterval(Neg(Infinity), 0))), Or(And(NotEqual(x, 0), NotEqual(y, 0)), And(NotEqual(x, 0), NotEqual(z, 0)), And(NotEqual(y, 0), NotEqual(z, 0))))))\left|R_F\!\left(x, y, z\right) - {A}^{-1 / 2} \left(1 - \frac{E}{10} + \frac{F}{14} + \frac{{E}^{2}}{24} - \frac{3 E F}{44} - \frac{5 {E}^{3}}{208} + \frac{3 {F}^{2}}{104} + \frac{{E}^{2} F}{16}\right)\right| \le \frac{0.2 \left|{A}^{-1 / 2}\right| {M}^{8}}{1 - M}\; \text{ where } A = \frac{x + y + z}{3},\;X = 1 - \frac{x}{A},\;Y = 1 - \frac{y}{A},\;Z = 1 - \frac{z}{A},\;E = X Y + X Z + Y Z,\;F = X Y Z,\;M = \max\!\left(\left|X\right|, \left|Y\right|, \left|Z\right|\right)
x \in \mathbb{C} \;\mathbin{\operatorname{and}}\; y \in \mathbb{C} \;\mathbin{\operatorname{and}}\; z \in \mathbb{C} \;\mathbin{\operatorname{and}}\; \left(\left(x \ne 0 \;\mathbin{\operatorname{and}}\; y \ne 0\right) \;\mathbin{\operatorname{or}}\; \left(x \ne 0 \;\mathbin{\operatorname{and}}\; z \ne 0\right) \;\mathbin{\operatorname{or}}\; \left(y \ne 0 \;\mathbin{\operatorname{and}}\; z \ne 0\right)\right) \;\mathbin{\operatorname{and}}\; \max\!\left(\left|\arg(x) - \arg(y)\right|, \left|\arg(x) - \arg(z)\right|, \left|\arg(y) - \arg(z)\right|\right) < \pi \;\mathbin{\operatorname{and}}\; \left|1 - \frac{3 x}{x + y + z}\right| < 1 \;\mathbin{\operatorname{and}}\; \left|1 - \frac{3 y}{x + y + z}\right| < 1 \;\mathbin{\operatorname{and}}\; \left|1 - \frac{3 z}{x + y + z}\right| < 1| Fungrim symbol | Notation | Short description |
|---|---|---|
| Abs | ∣z∣ | Absolute value |
| CarlsonRF | RF(x,y,z) | Carlson symmetric elliptic integral of the first kind |
| Pow | ab | Power |
| CC | C | Complex numbers |
| Arg | arg(z) | Complex argument |
| Pi | π | The constant pi (3.14...) |
Entry(ID("799894"),
Formula(Where(LessEqual(Abs(Sub(CarlsonRF(x, y, z), Mul(Pow(A, Neg(Div(1, 2))), Add(Add(Sub(Sub(Add(Add(Sub(1, Div(E, 10)), Div(F, 14)), Div(Pow(E, 2), 24)), Div(Mul(Mul(3, E), F), 44)), Div(Mul(5, Pow(E, 3)), 208)), Div(Mul(3, Pow(F, 2)), 104)), Div(Mul(Pow(E, 2), F), 16))))), Div(Mul(Mul(Decimal("0.2"), Abs(Pow(A, Neg(Div(1, 2))))), Pow(M, 8)), Sub(1, M))), Def(A, Div(Add(Add(x, y), z), 3)), Def(X, Sub(1, Div(x, A))), Def(Y, Sub(1, Div(y, A))), Def(Z, Sub(1, Div(z, A))), Def(E, Add(Add(Mul(X, Y), Mul(X, Z)), Mul(Y, Z))), Def(F, Mul(Mul(X, Y), Z)), Def(M, Max(Abs(X), Abs(Y), Abs(Z))))),
Variables(x, y, z),
Assumptions(And(Element(x, CC), Element(y, CC), Element(z, CC), Or(And(NotEqual(x, 0), NotEqual(y, 0)), And(NotEqual(x, 0), NotEqual(z, 0)), And(NotEqual(y, 0), NotEqual(z, 0))), Less(Max(Abs(Sub(Arg(x), Arg(y))), Abs(Sub(Arg(x), Arg(z))), Abs(Sub(Arg(y), Arg(z)))), Pi), Less(Abs(Sub(1, Div(Mul(3, x), Add(Add(x, y), z)))), 1), Less(Abs(Sub(1, Div(Mul(3, y), Add(Add(x, y), z)))), 1), Less(Abs(Sub(1, Div(Mul(3, z), Add(Add(x, y), z)))), 1))),
References("https://doi.org/10.6028/jres.107.034"))R_F\!\left(x, y, z\right) \le \frac{1}{{\left(x y z\right)}^{1 / 6}}
x \in \left(0, \infty\right) \;\mathbin{\operatorname{and}}\; y \in \left(0, \infty\right) \;\mathbin{\operatorname{and}}\; z \in \left(0, \infty\right)| Fungrim symbol | Notation | Short description |
|---|---|---|
| CarlsonRF | RF(x,y,z) | Carlson symmetric elliptic integral of the first kind |
| Pow | ab | Power |
| OpenInterval | (a,b) | Open interval |
| Infinity | ∞ | Positive infinity |
Entry(ID("c03f78"),
Formula(LessEqual(CarlsonRF(x, y, z), Div(1, Pow(Mul(Mul(x, y), z), Div(1, 6))))),
Variables(x, y, z),
Assumptions(And(Element(x, OpenInterval(0, Infinity)), Element(y, OpenInterval(0, Infinity)), Element(z, OpenInterval(0, Infinity)))),
References("https://dlmf.nist.gov/19.24"))R_F\!\left(x, y, z\right) \ge \frac{3}{\sqrt{x} + \sqrt{y} + \sqrt{z}}
x \in \left[0, \infty\right) \;\mathbin{\operatorname{and}}\; y \in \left[0, \infty\right) \;\mathbin{\operatorname{and}}\; z \in \left[0, \infty\right)
\left(x \ne 0 \;\mathbin{\operatorname{and}}\; y \ne 0\right) \;\mathbin{\operatorname{or}}\; \left(x \ne 0 \;\mathbin{\operatorname{and}}\; z \ne 0\right) \;\mathbin{\operatorname{or}}\; \left(y \ne 0 \;\mathbin{\operatorname{and}}\; z \ne 0\right)| Fungrim symbol | Notation | Short description |
|---|---|---|
| CarlsonRF | RF(x,y,z) | Carlson symmetric elliptic integral of the first kind |
| Sqrt | z | Principal square root |
| ClosedOpenInterval | [a,b) | Closed-open interval |
| Infinity | ∞ | Positive infinity |
Entry(ID("1d2811"),
Formula(GreaterEqual(CarlsonRF(x, y, z), Div(3, Add(Add(Sqrt(x), Sqrt(y)), Sqrt(z))))),
Variables(x, y, z),
Assumptions(And(Element(x, ClosedOpenInterval(0, Infinity)), Element(y, ClosedOpenInterval(0, Infinity)), Element(z, ClosedOpenInterval(0, Infinity))), Or(And(NotEqual(x, 0), NotEqual(y, 0)), And(NotEqual(x, 0), NotEqual(z, 0)), And(NotEqual(y, 0), NotEqual(z, 0)))))R_G\!\left(x, y, z\right) \le \min\!\left(\sqrt{\frac{x + y + z}{3}}, \frac{{x}^{2} + {y}^{2} + {z}^{2}}{3 \sqrt{x y z}}\right)
x \in \left[0, \infty\right) \;\mathbin{\operatorname{and}}\; y \in \left[0, \infty\right) \;\mathbin{\operatorname{and}}\; z \in \left[0, \infty\right)| Fungrim symbol | Notation | Short description |
|---|---|---|
| CarlsonRG | RG(x,y,z) | Carlson symmetric elliptic integral of the second kind |
| Sqrt | z | Principal square root |
| Pow | ab | Power |
| ClosedOpenInterval | [a,b) | Closed-open interval |
| Infinity | ∞ | Positive infinity |
Entry(ID("07584a"),
Formula(LessEqual(CarlsonRG(x, y, z), Min(Sqrt(Div(Add(Add(x, y), z), 3)), Div(Add(Add(Pow(x, 2), Pow(y, 2)), Pow(z, 2)), Mul(3, Sqrt(Mul(Mul(x, y), z))))))),
Variables(x, y, z),
Assumptions(And(Element(x, ClosedOpenInterval(0, Infinity)), Element(y, ClosedOpenInterval(0, Infinity)), Element(z, ClosedOpenInterval(0, Infinity)))))R_G\!\left(x, y, z\right) \ge \frac{\sqrt{x} + \sqrt{y} + \sqrt{z}}{3}
x \in \left[0, \infty\right) \;\mathbin{\operatorname{and}}\; y \in \left[0, \infty\right) \;\mathbin{\operatorname{and}}\; z \in \left[0, \infty\right)| Fungrim symbol | Notation | Short description |
|---|---|---|
| CarlsonRG | RG(x,y,z) | Carlson symmetric elliptic integral of the second kind |
| Sqrt | z | Principal square root |
| ClosedOpenInterval | [a,b) | Closed-open interval |
| Infinity | ∞ | Positive infinity |
Entry(ID("edcf6c"),
Formula(GreaterEqual(CarlsonRG(x, y, z), Div(Add(Add(Sqrt(x), Sqrt(y)), Sqrt(z)), 3))),
Variables(x, y, z),
Assumptions(And(Element(x, ClosedOpenInterval(0, Infinity)), Element(y, ClosedOpenInterval(0, Infinity)), Element(z, ClosedOpenInterval(0, Infinity)))))R_J\!\left(x, y, z, w\right) \le {\left(x y z {w}^{2}\right)}^{-3 / 10}
x \in \left(0, \infty\right) \;\mathbin{\operatorname{and}}\; y \in \left(0, \infty\right) \;\mathbin{\operatorname{and}}\; z \in \left(0, \infty\right) \;\mathbin{\operatorname{and}}\; w \in \left(0, \infty\right)| Fungrim symbol | Notation | Short description |
|---|---|---|
| CarlsonRJ | RJ(x,y,z,w) | Carlson symmetric elliptic integral of the third kind |
| Pow | ab | Power |
| OpenInterval | (a,b) | Open interval |
| Infinity | ∞ | Positive infinity |
Entry(ID("a4e47f"),
Formula(LessEqual(CarlsonRJ(x, y, z, w), Pow(Mul(Mul(Mul(x, y), z), Pow(w, 2)), Neg(Div(3, 10))))),
Variables(x, y, z, w),
Assumptions(And(Element(x, OpenInterval(0, Infinity)), Element(y, OpenInterval(0, Infinity)), Element(z, OpenInterval(0, Infinity)), Element(w, OpenInterval(0, Infinity)))))R_J\!\left(x, y, z, w\right) \ge {\left(\frac{5}{\sqrt{x} + \sqrt{y} + \sqrt{z} + 2 \sqrt{w}}\right)}^{3}
x \in \left[0, \infty\right) \;\mathbin{\operatorname{and}}\; y \in \left[0, \infty\right) \;\mathbin{\operatorname{and}}\; z \in \left[0, \infty\right) \;\mathbin{\operatorname{and}}\; w \in \left(0, \infty\right) \;\mathbin{\operatorname{and}}\; \left(\left(x \ne 0 \;\mathbin{\operatorname{and}}\; y \ne 0\right) \;\mathbin{\operatorname{or}}\; \left(x \ne 0 \;\mathbin{\operatorname{and}}\; z \ne 0\right) \;\mathbin{\operatorname{or}}\; \left(y \ne 0 \;\mathbin{\operatorname{and}}\; z \ne 0\right)\right)| Fungrim symbol | Notation | Short description |
|---|---|---|
| CarlsonRJ | RJ(x,y,z,w) | Carlson symmetric elliptic integral of the third kind |
| Pow | ab | Power |
| Sqrt | z | Principal square root |
| ClosedOpenInterval | [a,b) | Closed-open interval |
| Infinity | ∞ | Positive infinity |
| OpenInterval | (a,b) | Open interval |
Entry(ID("d3b39c"),
Formula(GreaterEqual(CarlsonRJ(x, y, z, w), Pow(Div(5, Add(Add(Add(Sqrt(x), Sqrt(y)), Sqrt(z)), Mul(2, Sqrt(w)))), 3))),
Variables(x, y, z, w),
Assumptions(And(Element(x, ClosedOpenInterval(0, Infinity)), Element(y, ClosedOpenInterval(0, Infinity)), Element(z, ClosedOpenInterval(0, Infinity)), Element(w, OpenInterval(0, Infinity)), Or(And(NotEqual(x, 0), NotEqual(y, 0)), And(NotEqual(x, 0), NotEqual(z, 0)), And(NotEqual(y, 0), NotEqual(z, 0))))))R_D\!\left(x, y, z\right) \le {\left(x y {z}^{3}\right)}^{-3 / 10}
x \in \left(0, \infty\right) \;\mathbin{\operatorname{and}}\; y \in \left(0, \infty\right) \;\mathbin{\operatorname{and}}\; z \in \left(0, \infty\right)| Fungrim symbol | Notation | Short description |
|---|---|---|
| CarlsonRD | RD(x,y,z) | Degenerate Carlson symmetric elliptic integral of the third kind |
| Pow | ab | Power |
| OpenInterval | (a,b) | Open interval |
| Infinity | ∞ | Positive infinity |
Entry(ID("230a49"),
Formula(LessEqual(CarlsonRD(x, y, z), Pow(Mul(Mul(x, y), Pow(z, 3)), Neg(Div(3, 10))))),
Variables(x, y, z),
Assumptions(And(Element(x, OpenInterval(0, Infinity)), Element(y, OpenInterval(0, Infinity)), Element(z, OpenInterval(0, Infinity)))))R_D\!\left(x, y, z\right) \ge {\left(\frac{5}{\sqrt{x} + \sqrt{y} + 3 \sqrt{z}}\right)}^{3}
x \in \left[0, \infty\right) \;\mathbin{\operatorname{and}}\; y \in \left[0, \infty\right) \;\mathbin{\operatorname{and}}\; z \in \left(0, \infty\right)| Fungrim symbol | Notation | Short description |
|---|---|---|
| CarlsonRD | RD(x,y,z) | Degenerate Carlson symmetric elliptic integral of the third kind |
| Pow | ab | Power |
| Sqrt | z | Principal square root |
| ClosedOpenInterval | [a,b) | Closed-open interval |
| Infinity | ∞ | Positive infinity |
| OpenInterval | (a,b) | Open interval |
Entry(ID("34e932"),
Formula(GreaterEqual(CarlsonRD(x, y, z), Pow(Div(5, Add(Add(Sqrt(x), Sqrt(y)), Mul(3, Sqrt(z)))), 3))),
Variables(x, y, z),
Assumptions(And(Element(x, ClosedOpenInterval(0, Infinity)), Element(y, ClosedOpenInterval(0, Infinity)), Element(z, OpenInterval(0, Infinity)))))R_C\!\left(x, y\right) \le \frac{1}{{\left(x {y}^{2}\right)}^{1 / 6}}
x \in \left(0, \infty\right) \;\mathbin{\operatorname{and}}\; y \in \left(0, \infty\right)| Fungrim symbol | Notation | Short description |
|---|---|---|
| CarlsonRC | RC(x,y) | Degenerate Carlson symmetric elliptic integral of the first kind |
| Pow | ab | Power |
| OpenInterval | (a,b) | Open interval |
| Infinity | ∞ | Positive infinity |
Entry(ID("688efb"),
Formula(LessEqual(CarlsonRC(x, y), Div(1, Pow(Mul(x, Pow(y, 2)), Div(1, 6))))),
Variables(x, y),
Assumptions(And(Element(x, OpenInterval(0, Infinity)), Element(y, OpenInterval(0, Infinity)))))R_C\!\left(x, y\right) \ge \frac{3}{\sqrt{x} + 2 \sqrt{y}}
x \in \left[0, \infty\right) \;\mathbin{\operatorname{and}}\; y \in \left(0, \infty\right)| Fungrim symbol | Notation | Short description |
|---|---|---|
| CarlsonRC | RC(x,y) | Degenerate Carlson symmetric elliptic integral of the first kind |
| Sqrt | z | Principal square root |
| ClosedOpenInterval | [a,b) | Closed-open interval |
| Infinity | ∞ | Positive infinity |
| OpenInterval | (a,b) | Open interval |
Entry(ID("978287"),
Formula(GreaterEqual(CarlsonRC(x, y), Div(3, Add(Sqrt(x), Mul(2, Sqrt(y)))))),
Variables(x, y),
Assumptions(And(Element(x, ClosedOpenInterval(0, Infinity)), Element(y, OpenInterval(0, Infinity)))))R_F\!\left(0, y, z\right) \le \frac{1}{2 \sqrt{\max\!\left(y, z\right)}} \left(\pi + \left|\log\!\left(\frac{y}{z}\right)\right|\right)
y \in \left(0, \infty\right) \;\mathbin{\operatorname{and}}\; z \in \left(0, \infty\right)| Fungrim symbol | Notation | Short description |
|---|---|---|
| CarlsonRF | RF(x,y,z) | Carlson symmetric elliptic integral of the first kind |
| Sqrt | z | Principal square root |
| Pi | π | The constant pi (3.14...) |
| Abs | ∣z∣ | Absolute value |
| Log | log(z) | Natural logarithm |
| OpenInterval | (a,b) | Open interval |
| Infinity | ∞ | Positive infinity |
Entry(ID("0e209c"),
Formula(LessEqual(CarlsonRF(0, y, z), Mul(Div(1, Mul(2, Sqrt(Max(y, z)))), Add(Pi, Abs(Log(Div(y, z))))))),
Variables(y, z),
Assumptions(And(Element(y, OpenInterval(0, Infinity)), Element(z, OpenInterval(0, Infinity)))))R_F\!\left(0, y, z\right) \ge \frac{2 \log(2)}{\sqrt{\max\!\left(y, z\right)}}
y \in \left(0, \infty\right) \;\mathbin{\operatorname{and}}\; z \in \left(0, \infty\right)| Fungrim symbol | Notation | Short description |
|---|---|---|
| CarlsonRF | RF(x,y,z) | Carlson symmetric elliptic integral of the first kind |
| Log | log(z) | Natural logarithm |
| Sqrt | z | Principal square root |
| OpenInterval | (a,b) | Open interval |
| Infinity | ∞ | Positive infinity |
Entry(ID("2e40b8"),
Formula(GreaterEqual(CarlsonRF(0, y, z), Div(Mul(2, Log(2)), Sqrt(Max(y, z))))),
Variables(y, z),
Assumptions(And(Element(y, OpenInterval(0, Infinity)), Element(z, OpenInterval(0, Infinity)))))R_G\!\left(0, y, z\right) \le \frac{\pi \sqrt{\max\!\left(y, z\right)}}{4}
y \in \left[0, \infty\right) \;\mathbin{\operatorname{and}}\; z \in \left[0, \infty\right)| Fungrim symbol | Notation | Short description |
|---|---|---|
| CarlsonRG | RG(x,y,z) | Carlson symmetric elliptic integral of the second kind |
| Pi | π | The constant pi (3.14...) |
| Sqrt | z | Principal square root |
| ClosedOpenInterval | [a,b) | Closed-open interval |
| Infinity | ∞ | Positive infinity |
Entry(ID("62eade"),
Formula(LessEqual(CarlsonRG(0, y, z), Div(Mul(Pi, Sqrt(Max(y, z))), 4))),
Variables(y, z),
Assumptions(And(Element(y, ClosedOpenInterval(0, Infinity)), Element(z, ClosedOpenInterval(0, Infinity)))))R_G\!\left(0, y, z\right) \ge \frac{\sqrt{\max\!\left(y, z\right)}}{2}
y \in \left[0, \infty\right) \;\mathbin{\operatorname{and}}\; z \in \left[0, \infty\right)| Fungrim symbol | Notation | Short description |
|---|---|---|
| CarlsonRG | RG(x,y,z) | Carlson symmetric elliptic integral of the second kind |
| Sqrt | z | Principal square root |
| ClosedOpenInterval | [a,b) | Closed-open interval |
| Infinity | ∞ | Positive infinity |
Entry(ID("36ae10"),
Formula(GreaterEqual(CarlsonRG(0, y, z), Div(Sqrt(Max(y, z)), 2))),
Variables(y, z),
Assumptions(And(Element(y, ClosedOpenInterval(0, Infinity)), Element(z, ClosedOpenInterval(0, Infinity)))))R_J\!\left(0, y, z, w\right) \le \frac{3 \pi}{4} {\left(y z {w}^{2}\right)}^{-3 / 8}
y \in \left(0, \infty\right) \;\mathbin{\operatorname{and}}\; z \in \left(0, \infty\right) \;\mathbin{\operatorname{and}}\; w \in \left(0, \infty\right)| Fungrim symbol | Notation | Short description |
|---|---|---|
| CarlsonRJ | RJ(x,y,z,w) | Carlson symmetric elliptic integral of the third kind |
| Pi | π | The constant pi (3.14...) |
| Pow | ab | Power |
| OpenInterval | (a,b) | Open interval |
| Infinity | ∞ | Positive infinity |
Entry(ID("add3ea"),
Formula(LessEqual(CarlsonRJ(0, y, z, w), Mul(Div(Mul(3, Pi), 4), Pow(Mul(Mul(y, z), Pow(w, 2)), Neg(Div(3, 8)))))),
Variables(y, z, w),
Assumptions(And(Element(y, OpenInterval(0, Infinity)), Element(z, OpenInterval(0, Infinity)), Element(w, OpenInterval(0, Infinity)))))R_J\!\left(0, y, z, w\right) \ge \frac{3 \pi}{2 \sqrt{w \left(2 y z + y w + z w\right)}}
y \in \left(0, \infty\right) \;\mathbin{\operatorname{and}}\; z \in \left(0, \infty\right) \;\mathbin{\operatorname{and}}\; w \in \left(0, \infty\right)| Fungrim symbol | Notation | Short description |
|---|---|---|
| CarlsonRJ | RJ(x,y,z,w) | Carlson symmetric elliptic integral of the third kind |
| Pi | π | The constant pi (3.14...) |
| Sqrt | z | Principal square root |
| OpenInterval | (a,b) | Open interval |
| Infinity | ∞ | Positive infinity |
Entry(ID("60541a"),
Formula(GreaterEqual(CarlsonRJ(0, y, z, w), Div(Mul(3, Pi), Mul(2, Sqrt(Mul(w, Add(Add(Mul(Mul(2, y), z), Mul(y, w)), Mul(z, w)))))))),
Variables(y, z, w),
Assumptions(And(Element(y, OpenInterval(0, Infinity)), Element(z, OpenInterval(0, Infinity)), Element(w, OpenInterval(0, Infinity)))))R_D\!\left(0, y, z\right) \le \frac{3 \pi}{4} {\left(y {z}^{3}\right)}^{-3 / 8}
y \in \left(0, \infty\right) \;\mathbin{\operatorname{and}}\; z \in \left(0, \infty\right)| Fungrim symbol | Notation | Short description |
|---|---|---|
| CarlsonRD | RD(x,y,z) | Degenerate Carlson symmetric elliptic integral of the third kind |
| Pi | π | The constant pi (3.14...) |
| Pow | ab | Power |
| OpenInterval | (a,b) | Open interval |
| Infinity | ∞ | Positive infinity |
Entry(ID("d70b12"),
Formula(LessEqual(CarlsonRD(0, y, z), Mul(Div(Mul(3, Pi), 4), Pow(Mul(y, Pow(z, 3)), Neg(Div(3, 8)))))),
Variables(y, z),
Assumptions(And(Element(y, OpenInterval(0, Infinity)), Element(z, OpenInterval(0, Infinity)))))R_D\!\left(0, y, z\right) \ge \frac{3 \pi}{2 z \sqrt{3 y + y + z}}
y \in \left(0, \infty\right) \;\mathbin{\operatorname{and}}\; z \in \left(0, \infty\right)| Fungrim symbol | Notation | Short description |
|---|---|---|
| CarlsonRD | RD(x,y,z) | Degenerate Carlson symmetric elliptic integral of the third kind |
| Pi | π | The constant pi (3.14...) |
| Sqrt | z | Principal square root |
| OpenInterval | (a,b) | Open interval |
| Infinity | ∞ | Positive infinity |
Entry(ID("255142"),
Formula(GreaterEqual(CarlsonRD(0, y, z), Div(Mul(3, Pi), Mul(Mul(2, z), Sqrt(Add(Add(Mul(3, y), y), z)))))),
Variables(y, z),
Assumptions(And(Element(y, OpenInterval(0, Infinity)), Element(z, OpenInterval(0, Infinity)))))Copyright (C) Fredrik Johansson and contributors. Fungrim is provided under the MIT license. The source code is on GitHub.
2021-03-15 19:12:00.328586 UTC